
森林内の放射性セシウム動態の全容解明にむけて
~森林に関するデータを整備し、その全体像を国際原子力機関から公表~
| 令和2年12月18日(金) 国立環境研究所 森林総合研究所 筑波大学 量子科学技術研究開発機構 東京大学 |
|
国立環境研究所は、森林研究・整備機構森林総合研究所、量子科学技術研究開発機構、筑波大学、東京大学、海外の共同研究者と協力し、国際原子力機関(IAEA)が主導する国際プロジェクトMODARIA II のワーキンググループ4の活動として森林内の放射性セシウム動態に関するこれまでの膨大なデータを整備・取りまとめ、その概要を2020年10月30日に国際原子力機関のホームページにおいてオンラインでIAEA技術報告書(IAEA-TecDoc)として公開しました。 この報告書は、福島の森林での放射性セシウムの実態やその動態を網羅的に集約し、一般性のあるデータや森林放射性Cs動態に関するパラメータとしてまとめたものであり、国内外で活用が期待されます。また本プロジェクトで作成したデータベースについては、別途2020年12月18日付でSpringer-Natureから刊行されるデータ分野の学術誌「Scientific Data」に掲載されます。 |
1.研究の背景
福島第一原子力発電所事故で影響を受けた面積の約7割が森林に覆われています。事故後の様々な研究を通じて、森林内の放射性セシウムの分布は時間とともに変化してきたことがわかっています。事故後に国内の森林で行われた研究が様々な形で報告されてきました。チェルノブイリ事故後と比較しても、非常に多くの観測が行われてきており、多くの知見が集積しています。その一方で、統一的に整理がなされてこなかったため、全容がわかりにくい状況にありました。このことは海外からも指摘されていました。
2.研究の目的
このような状況の中、私たちの研究グループは、国際原子力機関のプロジェクト(MODARIA II: Modelling and Data for Radiological Impact Assessments II)に加わり、福島原発事故から9年間の間に発表された、福島第一原子力発電所事故後に発表された学術論文、各種機関による報告書やウェブ上で公開されたモニタリングデータなどを海外の専門家とも協力して収集し、福島第一原発事故の影響下にある森林生態系の放射性物質動態の実態把握とその時間経過について取りまとめ、データベースを作成しました。この作成したデータベースについては一般公開を予定しています。また、その全容を、IAEAのIAEA技術報告書(IAEA-TecDoc)として報告しています。
3.研究結果と考察
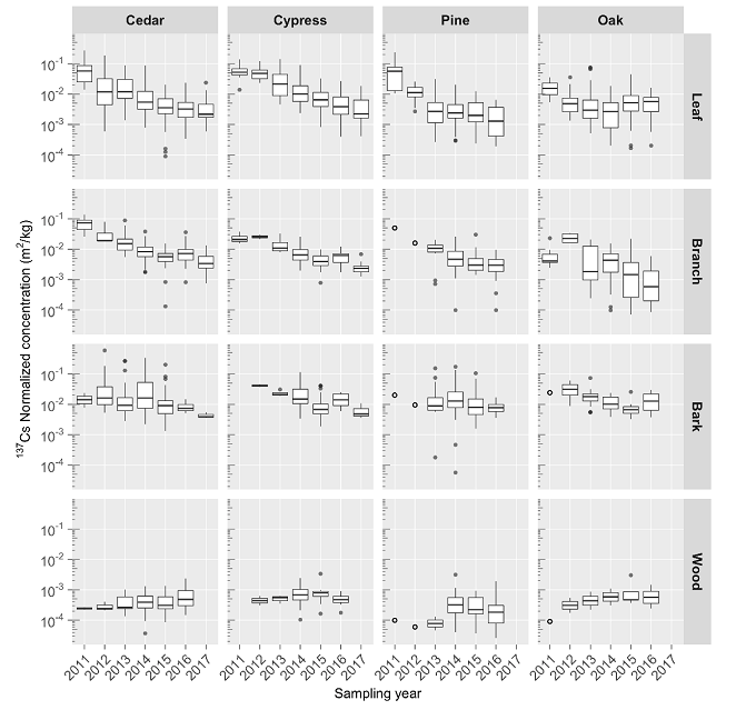
作成されたデータベースには、樹木、土壌、キノコの放射性Cs濃度が8593件、4105件、3189件、また、樹木、土壌における放射性Cs蓄積量が471件、3521件収録されています。そのうち、森林の放射性セシウム動態に関するデータを精査し、樹木から土壌への移動、樹木内部への取り込み、土壌内の分布、きのこや山菜、野生動物への取り込み率(移行係数)、環境半減期などについて、報告書として取りまとめています。
これらの値は、福島の森林での放射性セシウムの動態を網羅的に集約し、一般性のあるデータとして表現した唯一のデータセットです。また、国際原子力機関のプロジェクトという国際的枠組として全世界に広く発信され、世界中の研究者や行政担当者に活用されることが期待されます。

樹種別の各部位のCs沈着量で正規化された放射性Cs濃度の時間変化
4.今後の展望
今回公表したデータセットは、事故による森林内の放射性セシウム動態に対する理解とそれに基づいた今後の森林回復に向けた計画策定などに活用が可能です。今回、福島事故の特徴を明らかにできたことで、これまでのチェルノブイリ事故での欧州の事例とも精緻に比較することが可能となります。事故直後から非常に多くの観測が行われてきており、日本の放射性セシウム汚染実態を正確に国際的に発信してきましたが、データベースとして公開し、誰でも利用できる形で残すことで、より正確な実態把握と将来の汚染状況の把握の一助になることが期待されます。
放射性セシウムの半減期は30年と長く、森林では今後も放射性セシウムの分布が変化し続けていきます。そのため、森林でのモニタリングを継続していく必要があり、今回の私たちの報告は国内における今後の対策立案のみならず、今後の備えとして世界から注目されています。
5.注釈
放射性セシウム:放射線を放出するセシウム。福島事故では主にセシウム137と134が放出されました。今回の研究ではセシウム137を対象としました。
6.研究助成
本研究は、科研費「16H04945」の支援を受けて実施されました。
7.発表論文
#IAEA技術報告書
【タイトル】Environmental Transfer of Radionuclides in Japan following the Accident at the Fukushima Daiichi Nuclear Power Plant(福島第一原子力発電所事故後の環境中の放射性核種の動態)第5章「森林生態系」
【著者】橋本昌司、小松雅史、今村直広、大橋伸太、加藤弘亮、仁科一哉、田上恵子、内田滋夫、George Shaw、Mike Wood、Nick Beresford, Brenda, Howard, Sergey Fesenko, Yves Thiry
【雑誌】IAEA(国際原子力機関) TECDOC SERIES IAEA-TECDOC-1927
【URL】https://www.iaea.org/publications/14751/environmental-transfer-of-radionuclides-in-japan-following-the-accident-at-the-fukushima-daiichi-nuclear-power-plant【外部サイトに接続します】
#学術雑誌
【タイトル】A dataset of 137Cs activity concentration and inventory in forests contaminated by the Fukushima accident
【著者】Hashimoto, S., N. Imamura, A. Kawanishi, M. Komatsu, S. Ohashi, K. Nishina, S. Kaneko, G. Shaw, Y. Thiry (accepted)
【雑誌】Scientific Data
【DOI】10.1038/s41597-020-00770-1
8.問い合わせ先
【研究に関する問い合わせ】
国立研究開発法人国立環境研究所 地域環境研究センター
福島支部 環境影響評価研究室 併任
土壌環境研究室 主任研究員 仁科一哉
森林総合研究所 立地環境研究領域 土壌資源研究室 主任研究員
東京大学大学院農学生命科学研究科(クロスアポイントメント)
附属アイソトープ農学教育研究施設 森林科学専攻(兼担)准教授 橋本昌司
筑波大学 生命環境系
准教授 加藤弘亮
国立研究開発法人量子科学技術研究開発機構
量子医学・医療部門 高度被ばく医療センター 福島再生支援研究部
環境移行パラメータ研究グループ グループリーダー 田上恵子
【報道に関する問い合わせ】
国立研究開発法人国立環境研究所 企画部広報室
kouhou0(末尾に@nies.go.jpをつけてください)
029-850-2308