
最新の予測では世界の穀物収量に対する
気候変動影響の将来見通しが顕著に悪化
~気候変動適応の正念場、従来の想定より早い時期に~
|
2021年11月1日(月) 国立研究開発法人国立環境研究所 気候変動適応センター 気候変動影響評価研究室 主任研究員 岡田 将誌 農研機構 農業環境研究部門 上級研究員 飯泉 仁之直 |
|
国立環境研究所と国立研究開発法人農業・食品産業技術総合研究機構(以下、農研機構)などが参加した8ヵ国1)20の研究機関からなる国際研究チームは、将来の気候変動が世界の穀物収量に及ぼす影響について最新の予測を行いました。2014年に行われた前回の予測2)以来7年ぶりとなります。今回の予測には、気候変動に関する政府間パネル(IPCC)の最新の気候変動予測3)と12の収量モデル4)を用いています。気候変動が進行した場合、今世紀末(2069-2099年)の世界の平均収量は、現在(1983-2013年)に比べて、トウモロコシでは24%減少するとの結果だった一方、コムギでは18%増加するとの結果でした。主要生産国の多い中緯度地域ではこうした収量変化がコムギでは2020年代後半から、トウモロコシでは2030年代後半から顕在化すると予測されました。これらの時期は前回の予測より10年以上早まっており、気候変動への適応をこれまでの想定よりも早く進めることが必要です。この研究成果は、2022年に公表予定のIPCCの第6次評価報告書(第2作業部会)に最新の知見を提供するものです。 本研究の成果は、2021年11月2日付で国際学術誌「Nature Food」に掲載されます。 |
1.研究の背景
気候変動(地球温暖化)は既に世界の穀物生産に悪影響を及ぼしており、気候変動が進行した場合、将来の食料生産にさらなる悪影響が生じると懸念されています。国立環境研究所と農研機構などが参加する国際研究チームは、IPCCによる第5次評価報告書(第2作業部会報告書)において2014年に前回の予測が公表されて以来、7年ぶりとなる最新の予測を第6次評価報告書(第2作業部会報告書)に向けて公表しました。
2.研究手法
本研究では、2021年8月に公表された第1作業部会報告書で用いられている最新の気候変動予測と、8ヶ国20の研究機関で開発された12の収量モデルを使用しています。複数の収量モデルによる予測結果の平均値を用いることでより信頼性の高い予測を得ることができます。今回、使用した収量モデルの数は前回(7モデル)の2倍近くに増えました。国立環境研究所と農研機構はそれぞれに収量モデルの予測結果を国際研究チームに提供しました。
3.研究結果
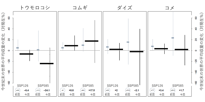
世界の穀物収量に対する気候変動の影響は、前回の予測と比較して、その影響の大きさが拡大し、トウモロコシ、ダイズ、コメの収量の大幅な悪化が予測されました。気候変動が進行するシナリオ(SSP585)5)の場合、今世紀末(2069-2099年)のトウモロコシの世界の平均収量は前回の予測では1%増加でしたが、今回は24%低下(対現在1983-2013年)との予測結果に転じました。ダイズについては15%増加(前回)から2%低下(今回)、コメについては23%増加(前回)から2%増加との結果でした(図1)。一方、将来のコムギ収量は前回の予測より大きな増加を示し、前回の9%増加から今回では18%増加との予測結果でした6)。
収量の低下と増加のいずれについても、こうした気候変動による収量変化が収量の年々変動より大きくなる時期は、前回の予測時期よりも早くなるとの予測でした。主要生産地域が多い中緯度地域の場合、コムギでは2020年代後半から、トウモロコシでは2030年代後半、コメでは2090年代からこうした気候変動による収量変化が顕在化すると予測されました(図2)。中緯度地域のダイズについては今世紀中には顕在化しないとの予測結果でした。気候変動影響が顕在化すると前回予測された時期はコムギでは2030年代前半、トウモロコシとコメでは2090年代以降であり、今回の予測では前回の予測より時期が10年以上早まっています。
将来の収量予測は不確実ではあるものの、これらの予測結果は、主要生産地域では以前に予測されていたよりも早い時期に気候変動の影響に直面することを示唆しています。気候変動による穀物生産への悪影響に対応することが困難にならないように、気候変動への適応と、気候変動の進行を遅らせるために温室効果ガスの排出削減等を進めることをこれまでの想定よりも早く進めることが必要です。
本研究では、気候変動の影響に焦点を当てるため、栽培地域の分布や栽培技術は将来も現在と同じと仮定しました。今後、国際研究チームでは、気候変動により予測される影響をどの程度まで軽減させることができるのか、開発途上国での既存の増収技術の普及や播種期の移動などの対策技術を導入した場合の効果について評価を今後進めていく予定です。
4.今後の展望
本研究で行われた新たな予測は、最新の気候変動予測を使用していることに加えて、これまでにない数の収量モデルに基づいており、これまでよりも信頼性が高い予測となっています。この予測は最新の知見を第2作業部会報告書に提供し、今後、数年間にわたり、気候変動への適応技術の開発・開発途上国の適応支援、世界の温室効果ガスの排出削減等を巡る施策決定の場において基盤情報として活用されることが期待されます。
5.注釈
米国、ドイツ、オーストリア、フランス、日本、中国、オランダ、スロバキア共和国
2014年に公表されたIPCCによる第5次評価報告書の第2作業部会報告書(影響・適応・脆弱性)
2021年8月に政策決定者向け要約が公表されたIPCCによる第6次評価報告書の第1作業部会報告書(自然科学的根拠)で使用された気候変動予測
作物の生理・生態的な生育過程を数式で表現したコンピュータ・シミュレーション・モデル。気象や土壌、栽培管理についての入力データに基づいて、日々の葉や茎の伸長、収量の形成を計算します。
気候変動が将来、著しく進行し、現在(1983-2013年)に比べて今世紀末(2069-2099年)に世界の平均気温が3.9℃上昇するシナリオ
大気中のCO2濃度増加に伴い光合成が促進することと、高緯度域での穀物生産の制約要因だった低温が気温上昇に伴い軽減されることが要因
気候変動が今世紀半ばで安定化し、現在(1983-2013年)に比べて今世紀末(2069-2099年)における世界の平均気温の上昇が1.1℃に留まるシナリオ
6.研究助成
本研究は、(独)環境再生保全機構の環境研究総合推進費2-2005「気候政策とSDGs の同時達成における水環境のシナジーとトレードオフ」、(独)日本学術振興会 科学研究費基盤研究(B)「将来の気候変動が世界各国・地域別のフードセキュリティに与える影響分析」、および国立環境研究所の気候変動適応研究プログラムにより実施されました。
7.発表論文
【タイトル】
Climate change signal in global agriculture emerges earlier in new generation of climate and crop models
【著者】
Jonas Jägermeyr, Christoph Müller, Alex C. Ruane, Joshua Elliott, Juraj Balkovic, Oscar Castillo, Babacar Faye, Ian Foster, Christian Folberth, James A. Franke, Kathrin Fuchs, Jose Guarin, Jens Heinke, Gerrit Hoogenboom, Toshichika Iizumi, Atul K. Jain, David Kelly, Nikolay Khabarov, Stefan Lange, Tzu-Shun Lin, Wenfeng Liu, Oleksandr Mialyk, Sara Minoli, Elisabeth J. Moyer, Masashi Okada, Meridel Phillips, Cheryl Porter, Sam Rabin, Clemens Scheer, Julia M. Schneider, Joep F. Schyns, Rastislav Skalsky, Andrew Smerald, Tommaso Stella, Haynes Stephens, Heidi Webber, Florian Zabel, Cynthia Rosenzweig
【雑誌】
Nature Food
【DOI】
10.1038/s43016-021-00400-y
【URL】
https://www.nature.com/articles/s43016-021-00400-y【外部サイトに接続します】
8.問い合わせ先
【研究に関する問い合わせ】
国立研究開発法人国立環境研究所 気候変動適応センター
気候変動影響評価研究室 主任研究員 岡田将誌
農研機構 農業環境研究部門
気候変動適応策研究領域 上級研究員 飯泉仁之直
【報道に関する問い合わせ】
国立研究開発法人国立環境研究所 企画部広報室
kouhou0(末尾に@nies.go.jpをつけてください)
029-850-2308
農研機構 農業環境研究部門
研究推進室(兼本部広報部) 杉山恵
niaes_kouhou(末尾に@ml.affrc.go.jpをつけてください)
029-838-8191又は6979

