日光紫外線によるビタミンDの生成
コラム4
ビタミンDを効果的に生成するUV-Bは、皮膚のDNAを損傷させ、日焼け(sunburn:紅斑)を生じさせます。皮膚に紅斑を生じさせる最少の紫外線量を、最少紅斑紫外線量(Minimal Erythema Dose: MED; 単位は[mJ/cm2])と呼び、スキンタイプや性別、年齢などによって人ごとに異なった値となります。スキンタイプType Iの人がMEDに達するまでの時間を1としたとき、スキンタイプType IIの人は1.25倍、Type IIIの人は1.5倍、Type IVの人は2倍のUV-B照射量でMEDに達する関係があります。
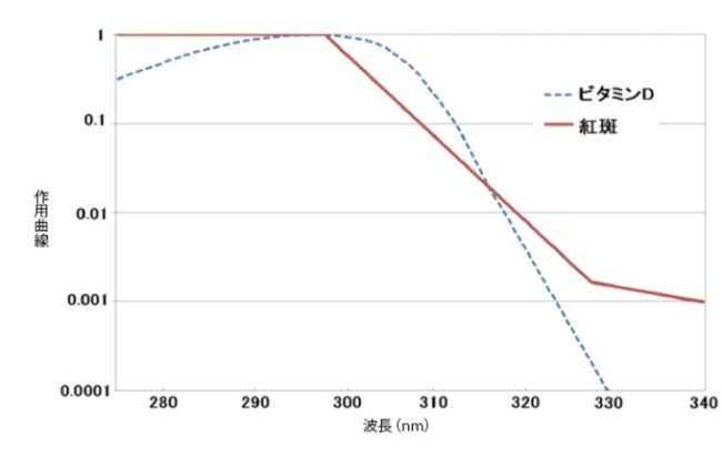
紫外線の人体への影響度は、波長によって異なります。波長ごとの人体への相対影響度については、国際照明委員会(Commission internationale de l’ éclairage: CIE)が定義した紅斑作用スペクトルが一般的に用いられています。図4に、紅斑紫外線と、肌でビタミンDを生成する紫外線の作用スペクトル曲線を示します。CIE紅斑作用スペクトルは、人の皮膚に紅斑(赤い日焼け:sunburn)を引き起こす作用曲線です。両者はそれぞれ波長290~300 nm付近で作用が最大となりますが、長波長側で効率が異なります。UV-B領域内の波長280~300 nmでは双方ともに相対影響度が高く、同領域内の波長300 nmからUV-A領域に入った320 nmにかけて急激に低くなります。330 nm以上の波長ではビタミンDの生成量はほとんど0になりますが、紅斑生成の効果は330 nm以上の長波長側でも少し残っています。

図4 紅斑紫外線とビタミンD生成紫外線の作用スペクトル
目次
目次
- 環境儀 No.79
- Interview研究者に聞く
- コラム1
- コラム2
- コラム3
- コラム5
- Summary
- 研究をめぐって
- 環境儀 NO.79 [4.1MB]
関連記事
表示する記事はありません
関連研究報告書
表示する記事はありません