
出生前の水銀、セレン、マンガンばく露と3歳までの子どものアレルギー疾患発生リスクとの関連 :エコチル調査
概要
大阪大学大学院医学系研究科の磯博康 招へい教授(環境医学/エコチル調査・大阪ユニットセンター ユニットセンター長補佐/国立国際医療研究センター国際医療協力局グローバルヘルス政策研究センター長)、祖父江友孝 教授、池原賢代 特任准教授(常勤)らの研究チームは、94,794組の母子を対象として、出生前の水銀、セレン、マンガンへのばく露が、3歳までの子どものアレルギー疾患の発症に与える影響について解析を行いました。
その結果、出生前の水銀およびマンガン濃度と3歳までの子どものアレルギー疾患の発症との間に関連は見られませんでした。しかしながら、妊娠中の母体血中セレン濃度が最も高いグループでは、最も低いグループと比較して、アトピー性皮膚炎、食物アレルギー、アレルギー性鼻炎、およびいずれかのアレルギー疾患の発生リスクが低いことが示されました。一方、このような結果は、血中水銀濃度の高い場合には見られませんでした。
本研究成果は、2023年8月16日(水)に学術誌「Environment International」に掲載されました。
※本研究の内容は、すべて著者の意見であり、環境省および国立環境研究所の見解ではありません。
研究の背景
子どもの健康と環境に関する全国調査(以下、「エコチル調査」)は、胎児期から小児期における化学物質ばく露が子どもの健康に与える影響を明らかにするために、平成22(2010)年度から全国で約10万組の親子を対象として開始された、大規模かつ長期にわたる出生コホート※2調査です。さい帯血、血液、尿、母乳、乳歯等の生体試料を採取し保存・分析するとともに、追跡調査を行い、子どもの健康と化学物質等の環境要因との関係を分析しています。
エコチル調査は、研究の中心機関として国立環境研究所にコアセンターを、国立成育医療研究センターに医学的支援のためのメディカルサポートセンターを、また、日本の各地域で調査を行うために公募で選定された15の大学等に地域の調査拠点となるユニットセンターを設置し、環境省と共に各関係機関が協働して実施している大規模調査です。
水銀は、環境汚染物質の一つとして健康被害への懸念があり、出生前のばく露が子どものアレルギー疾患発症との関連を示唆する報告もなされています。それに対して、セレン、マンガンは細胞や組織を保護し、人間の生体機能を維持するために必要な微量元素です。出生前のばく露と子どものアレルギー疾患との関連についてはいまだに議論があり、一定の結論には至っていません。また、水銀とセレンとの間には相互に影響し合うことも報告されていますが、アレルギー疾患との関連については明らかではありません。
そこで、本研究では、大規模な出生コホートであるエコチル調査により、水銀、セレン、マンガンによる出生前のばく露が、3歳までの子どものアレルギー疾患の発生リスクに関連するかどうかを解析しました。
研究の内容と成果
本研究では、妊娠中の母体血中水銀、セレン、およびマンガン濃度のデータがあり、母親の自記式質問票に有効な回答があった94,794組を対象としました。子どものアレルギー疾患の累積発生については、医療機関にて医師により診断されたアトピー性皮膚炎、食物アレルギー、喘息の有無を、1歳、1.5歳、2歳、3歳時のそれぞれの質問票で確認しました。
解析は、修正ポアソン回帰分析※3を用いて、3歳までの子どものアレルギー疾患の発生リスクについて、妊娠中の母体血中水銀、セレン、およびマンガン濃度別の累積発生比(Cumulative incidence ratio: CIR)※4および95%信頼区間(CI)※5を推定しました。また、交絡因子※6として母親の年齢、調査地域、血中金属元素、採血時の妊娠週数、妊娠中の魚介類摂取、妊娠前の母親のBMI、妊娠中の喫煙習慣および飲酒習慣、母親の教育歴および雇用形態、世帯収入、婚姻状況、母親のアレルギー疾患(アトピー性皮膚炎、食物アレルギー、喘息、アレルギー性鼻炎)の既往歴、妊娠回数、出産時の妊娠週数、子どもの性別を調整しました。
妊娠中の母体血中水銀、セレン、およびマンガン濃度の中央値[四分位範囲]ng/gは、それぞれ3.6[2.5–5.2]、168.0[156.0–182.0]、15.4[12.6–18.6]でした。
94,794人の生存児のうち、3歳までのアレルギー疾患(アトピー性皮膚炎、食物アレルギー、喘息のいずれかもしくは合併)の発生が26,238人(28.5%)でした。疾患別では、アトピー性皮膚炎が9,715人(10.3%)、食物アレルギーが10,897人(11.5%)、喘息が9,857人(10.4%)、アレルギー性鼻炎が4,630人(4.9%)でした。
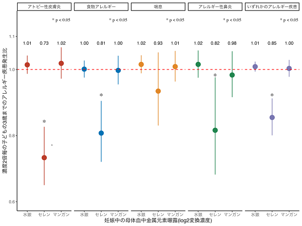
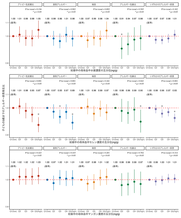
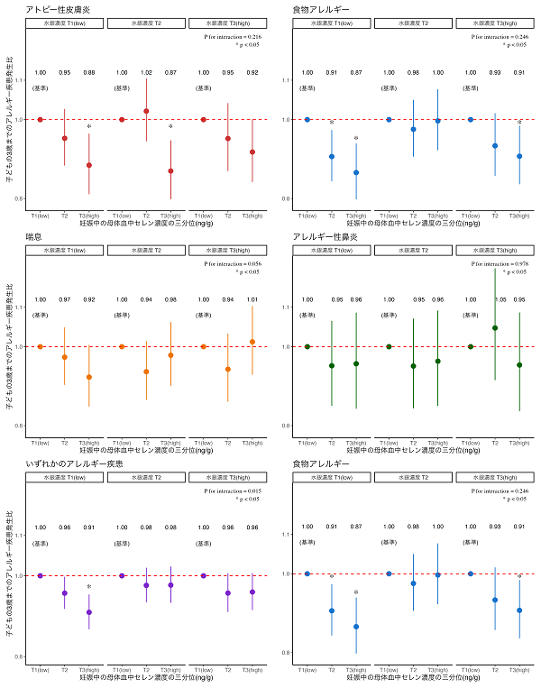
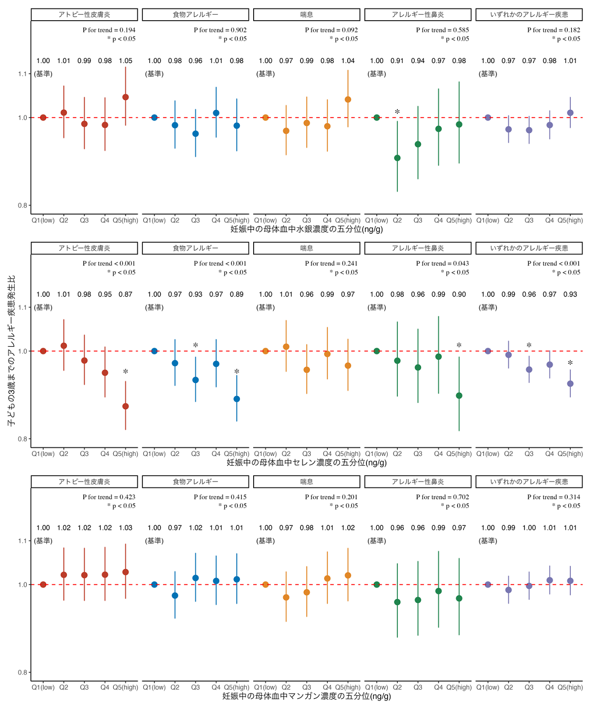
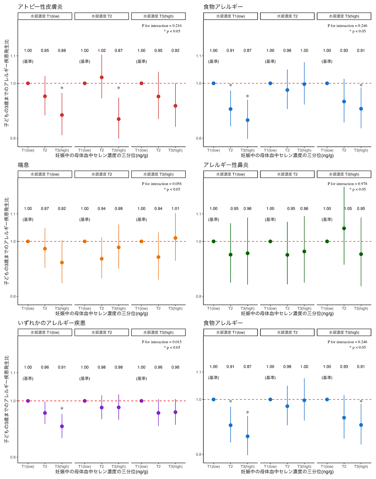
調査の結果、出生前の水銀ばく露およびマンガンばく露と3歳までの子どものアレルギー疾患の発生との間には、関連は見られませんでした。しかしながら出生前のセレンばく露に関して、母体血中濃度を対数変換して2倍増えるごとの発生比を算出した結果、アトピー性皮膚炎(CIR=0.73、95%CI: 0.65–0.83)、食物アレルギー(CIR=0.81、95%CI: 0.72–0.90)、アレルギー性鼻炎(CIR=0.82、95%CI: 0.68–0.98)、アトピー性皮膚炎、食物アレルギー、喘息、アレルギー性鼻炎のいずれかのアレルギー疾患(CIR=0.85、95%CI: 0.80-0.91)の発生リスクが低いことが示されました(図1)。また、各金属元素濃度を低い濃度から高い濃度まで順に並べて人数が均等になるように5つのグループに分け、それぞれのアレルギー疾患発生リスクを確認したところ、セレンばく露に関して、最も濃度が低いグループに比べて最も濃度が高いグループで発生リスクが低く、アトピー性皮膚炎、食物アレルギー、アレルギー性鼻炎、いずれかのアレルギー疾患で直線的に発症リスクが低くなる傾向が確認されました(図2)。さらに、水銀濃度を低い濃度から高い濃度まで順に並べて人数が均等になるように3つのグループに分けてセレン濃度とアレルギー疾患の発生との関連を検討したところ、水銀濃度が最も低い場合には、セレン濃度とアトピー性皮膚炎(CIR=0.88、95%CI: 0.81–0.96)、食物アレルギー(CIR=0.87、95%CI: 0.80–0.94)、アトピー性皮膚炎、食物アレルギー、喘息、アレルギー性鼻炎のいずれかのアレルギー疾患(IR=0.91、95%CI: 0.87–0.95)の発生との間に負の関連が見られましたが、水銀濃度が高い場合にはセレン濃度といずれかのアレルギー疾患の発生との間には関連は見られませんでした(図3)。子どものアレルギー疾患に関して、水銀濃度とセレン濃度との間に交互作用※7が認められました(交互作用のP=0.015)(図3)。
今後の展開
本研究の結果から、出生前のセレンばく露は、3歳までの子どものアレルギー疾患の発生リスク低下と関連していることが示されました。しかし、水銀のばく露が高い場合はその傾向が見られませんでした。
本研究での母体血中セレン濃度は、欧州の先行研究と比べて高い傾向が認められ、その理由として、一般に日本人は、欧米人に比べて、食事からセレンを十分に摂取していることが挙げられます。しかし、すべての人がセレンの摂取量が適量とは限らないため、妊娠中はバランスの良い食事を心がける一方、サプリメントによるセレンの過剰摂取や、水銀へのばく露を避ける必要があると考えられます。比較的水銀量が多いとされている大型の魚などの摂取には注意が必要です。
本研究の限界として、出生前の水銀、セレン、およびマンガンと3歳までの子どものアレルギー疾患の発生リスクとの間に、測定されていない未知の要因による影響がある可能性があります。
エコチル調査では、妊娠中の両親の血液などの生体試料を採取して、化学物質濃度などの分析を行っており、子どもの発育や健康に影響を与える化学物質等の環境要因を明らかにするために、引き続き調査を進めていきます。
特記事項
本研究成果は、2023年8月16日(水)に学術誌「Environment International」(オンライン)に掲載されました。
題名(英語):Prenatal exposure to selenium, mercury, and manganese during pregnancy and allergic diseases in early childhood: the Japan Environment and Children's study
著者名(英語):Junji Miyazaki1, 2, 3, Satoyo Ikehara1, 2, Kanami Tanigawa4, 1, 2, Takashi Kimura5, Kimiko Ueda6, 1, 2, Keiichi Ozono7, Tadashi Kimura8, Yayoi Kobayashi9, Shin Yamazaki9, Michihiro Kamijima10, Tomotaka Sobue1, 2, Hiroyasu Iso11, 2, and the Japan Environment and Children's Study (JECS) Group12
1 大阪大学大学院医学系研究科社会医学講座環境医学
2 エコチル調査大阪ユニットセンター
3 慶應義塾大学医学部衛生学公衆衛生学
4 大阪母子医療センター母子保健情報センター
5 北海道大学大学院医学研究院・医学院社会医学分野公衆衛生学
6 関西大学人間健康学部 人間健康学科
7 大阪大学大学院医学系研究科小児科学
8 大阪大学大学院医学系研究科産科学婦人科学
9 国立環境研究所
10 名古屋市立大学大学院医学研究科環境労働衛生学
11 国立国際医療研究センター グローバルヘルス政策研究センター
12 グループ:エコチル調査運営委員長(研究代表者)、コアセンター長、メディカルサポートセンター代表、各ユニットセンターから構成
DOI: https://doi.org/10.1016/j.envint.2023.108123(外部サイトに接続します)
用語説明
※1 ばく露
化学物質などの環境要因にさらされることをいいます。
※2 出生コホート
子どもが生まれる前から成長する期間を追跡して調査する疫学手法です。胎児期や小児期の環境因子が、子どもの成長と健康にどのように影響しているかを調査します。大人になるまで追跡する場合もあります。
※3 修正ポアソン回帰分析
複数の要因が関連する場合に特定の事象が起こる確率を検討するための統計手法です。
※4 累積発生比(Cumulative incidence ratio: CIR)
一定期間における疾患の発生しやすさを、2つのグループで比較した統計学的な尺度です。1を超えるとより起こりやすい、1を下回るとより起こりにくいことを示します。
※5 95%信頼区間(CI)
調査の精度を表す指標です。精度が高ければ狭い範囲に、低ければ広い範囲となります。
※6 交絡因子
ばく露要因や結果の両方に影響を与える可能性のある、他の変数や要因のことをいいます。
※7 交互作用
複数の要因が互いに関連し合って結果に影響して得られる変化を示す統計的な指標です。
参考URL
大阪大学大学院医学系研究科 環境医学 池原賢代 特任准教授(常勤)
研究者総覧URL https://rd.iai.osaka-u.ac.jp/ja/8572ae910669df8b.html(外部サイトに接続します)
本件に関する問い合わせ先
<研究に関すること>
大阪大学大学院 医学系研究科環境医学
エコチル調査大阪ユニットセンター
教授 祖父江友孝
特任准教授(常勤) 池原賢代
info_ecochil(末尾に"@pbhel.med.osaka-u.ac.jp"をつけてください)
<報道に関すること>
大阪大学大学院 医学系研究科 広報室
medpr(末尾に"@office.med.osaka-u.ac.jp"をつけてください)
国立研究開発法人国立環境研究所 企画部広報室
kouhou0(末尾に"@nies.go.jp"をつけてください)


