富栄養湖沼群の生物群集の変化と生態系管理に関する研究(開発途上国環境技術共同研究) 平成7〜11年度

国立環境研究所特別研究報告 SR-38-2001

1.はじめに

表紙
SR-38-2001 [6.4MB]

 中国は、国土の約2.6%を河川・湖沼が占める淡水域の多い国である。さらに、広い国土の大部分が、最終氷期に氷河に覆われることがなかったため、多くの河川・湖沼は高いレベルの生物多様性を維持することができた。こうした事情もあって、中国国民の食料資源としての淡水魚類への依存度は高い。特に、揚子江中下流域を含む東部湿潤地域には、中国全淡水湖の総面積の42%に相当する淡水湖があり、その水資源が地域経済および人間活動を支えている。しかし一方で、この地域の湖沼は、急激な経済発展と水処理技術の立ち遅れから、著しい生物資源の劣化や富栄養化によるアオコの大発生が生じている。
 このような背景のもとに、本研究ではまず、近年の揚子江流域湖沼の生物資源の劣化の現状とその原因を文献調査から把握し、三峡ダムの直下に位置することなどから、今後生物相が大きく変化することが予想される、洞庭(トンティン)湖の水質と生物の調査を行った(図1)。さらに、武漢という大都市近郊に位置する東湖(図2)という湖の長期的な生物データを整理し、人為的変化による生態系の変化とその要因について検討した。そして、中国都市郊外の富栄養湖の生態系管理として、ハクレンという揚子江原産のコイ科魚類を用いたバイオマニピュレーションの有効性を、隔離水界実験によって検討した。

図1 洞庭湖の概要図、図2  東湖の概要図と調査地点

2.研究の概要

(1)揚子江流域湖沼が抱える環境問題

 揚子江流域の生物多様性が減少している原因は以下の5点であった。まず1)湖沼面積の縮小が指摘された。これは森林伐採や農耕地化によって裸地化した流域から、湖沼に大量の土砂が流入したことに起因する。特に洞庭湖などで深刻な問題となっている。次に2)生息環境の分断が生物、特に魚類の多様性を低下させた。揚子江流域に数多く点在する湖沼は、水脈によってすべて本流とつながっていた。しかし洪水対策という名目で、そのほとんどが本流から切断されてしまった。これによって湖沼と本流とを生活史の中で行き来するコクレン・ハクレンなどの回遊魚たちは、急速に揚子江流域から姿を消していった。現在、揚子江流域で本流と水脈でつながる湖沼は、わずかに洞庭湖と鄱陽(ポーヤン)湖を残すだけである。3)漁業による乱獲と外来魚の移入も在来の魚類の多様性低下を招いた。水産資源への依存度が高い揚子江流域では、経済の発展に伴う急激な人口増加が、漁獲量の低下と漁獲物の小型化、低年齢化を引き起こした。また一方で、水産資源の増大を目的としてヨーロッパから移入した外来魚が、既存の在来魚を駆逐し、結果として総漁獲量が低下した例もある。4)水生植物の減少も多くの湖沼で問題になっている。揚子江流域にはソウギョというコイ科魚類が生息している。ソウギョは美味であり、その増殖事業を各地で盛んに行ってきた結果、ソウギョの主食である水生植物が多くの湖沼で壊滅的な打撃を受けた。これは多くの水生生物の生息場所として重要な湖沼沿岸帯植生の喪失を意味する。そして最後に5)湖水の過栄養化もまた湖沼の生物多様性を低下させる一因であることが分かった。これは流域の人口増加に伴う生活排水の湖沼への過度の流入と立ち遅れた廃水処理が原因である。

(2)洞庭湖の調査

 洞庭湖の水質は、窒素・リンなど栄養塩濃度が高く、明らかに過栄養湖の特徴を示しているが(図3)、一次生産量の指標となるクロロフィルa濃度は極めて低い(図4)。これは世界の亜熱帯湖沼と比較しても際立った特徴で、洞庭湖の湖水中に多量に含まれる粘土粒子などの懸濁物質が、光を透過しにくくし、一次生産を低く抑えているからと考えられた。
 洞庭湖の魚類相に関して、過去の漁獲統計から、漁獲される魚類の著しい低年齢化、小型化、回遊魚の減少、非回遊魚の増加などの変化が生じていることがわかった。
 洞庭湖のプランクトン相は本研究により初めて明らかになった。この中には幾つかの新種が含まれている。報告書に掲載した生物相のリストは、今後の洞庭湖の湖沼環境変化を監視してゆく上で、貴重な資料となるであろう。

図3  様々な湖沼のtpとtnの関係
図4  様々な湖沼のtpとクロロフィルα量の関係

(3)東湖の生物群集の長期変動

 東湖は1960年代に洪水対策のため揚子江本流から切り離されて以来、様々な人為的影響を強く受けてきた。70年代にはソウギョの過放流や富栄養化により、大型の水生植物が激減し、アオコがたびたび大発生するようになった。一方で、このころハクレンとコクレンの種苗放流技術が確立され、これら濾食性魚類の漁獲量が急激に増え始めた。1987年には突然アオコの発生がなくなり、それに伴い湖沼生態系が大きく変化した。本研究ではこうした長期の環境変化とその要因についての解析を行った。
 東湖の窒素・リンの濃度は手賀沼や霞ヶ浦と同じかそれ以上の値を示した(図3)。しかしその割に、やはりクロロフィルa量が低い(図4)。その原因は、先に洞庭湖について述べたように、水中に粘土粒子が多く含まれる揚子江流域湖沼の特徴と植物プランクトンをも摂食する濾食性魚類が多いことの双方の原因によると考えられる。
 東湖の一次生産量は80年代に頭打ちになっている(図5)。一次生産量の変化はないものの、80年代後半に植物プランクトンの優占種がMicrocystisを主体とするアオコから小型の珪藻やクリプト藻に変化した。それと同じころ、優占する枝角類動物プランクトンが大型のダフニアからモイナなどの小型種に移行し、また枝角類ノロの個体群の平均的体サイズも小さくなった。一方、この30年間にハクレンやコクレンの体サイズと体型も変化している。70年代に大型であった魚体が80年代に小型化し、90年代に入ってやや回復した。すなわち、80年代に動物プランクトンへの魚の捕食圧が増加し、プランクトン群集構造が大きく変化する時期に、魚の成長も一時的に落ちたものと考えられる。プランクトン群集の変化に伴い、それまでの植物プランクトン→大型動物プランクトン→魚という生食食物連鎖主体の経路は、細菌→原生動物→小型動物プランクトン→魚という微生物食物連鎖主体の経路に移行した。80年代以降、一次生産量が変化していないにもかかわらず90年代に入ってもさらに漁獲量が増え続けている原因としては、1)外来性懸濁有機物の増加と、2)アオコから珪藻・クリプト藻への植物プランクトン種の変化に伴う栄養価の増加が考えられる。

図5  東湖における一次生産量の長期変化

(4)浅い富栄養湖沼でのバイオマニピュレーションの有効性

 東湖生態系の長期変化の中で、アオコが消滅した原因が濾食性魚類の現存量増加にあるという仮説をたて、濾食性魚類を用いた水質浄化の可能性を実験的に検討した。実験は霞ヶ浦の湖岸に6基の隔離水界を構築し、濾食性魚類には利根川で自然産卵しているハクレンを用いた。1996年は水界ごとにハクレンの密度を変え、それに対応してプランクトン群集や水質がどのように変化するかを調べた(表1)。1997年はハクレンの導入と除去という相反する操作に対し、生態系構成要素や生態系の機能がどのように応答するかを調べ、生態系の維持力や復元力について検討した(図6)。これらの実験を通して得られた知見をまとめると次のようになる。

1)ハクレンはアオコを制御するか?
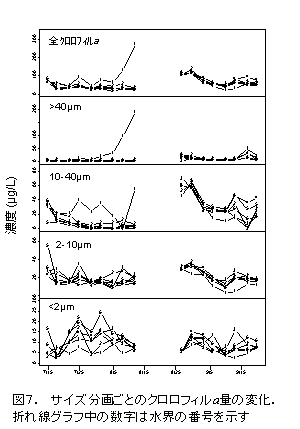
 ハクレンの導入はいわゆるアオコを形成するシアノバクテリアの現存量を確実に減らすことができる。このことはハクレンを導入しなかった水界1でだけアオコが発生したことで分かる(図7)。

2)ハクレンは湖沼の透明度を上げ、クロロフィル量を下げるか?
 ハクレンはアオコを減らす一方で、動物プランクトンに対しても現存量の低下や体サイズの小型化を引き起こす。このため、間接効果(ハクレンに摂食されないが、動物プランクトンに摂食されていた微小な植物プランクトンが増殖するため)として植物プランクトンの総量は変化しないか、場合によっては増えることすらある。従って、ハクレンが透明度を上げ、クロロフィル量を制限する効果は必ずしも期待できない。それが期待できるのは、枝角類がもともと極めて少ないか、あるいは元来動物プランクトンへの捕食圧の強い系にハクレンを導入した場合に限られる。

3)生態系の維持力と復元力について
 ハクレンの導入と除去という操作により、プランクトン組成で見た生態系構造は大きく変わるが(図8,9)、一次生産などの生態系機能には維持力がある。魚の呼吸、排泄、摂食作用により直接引き起こされる理化学的要因は復元しやすいが、生物種のいくつかはその現存量が復元しにくい。プランクトン群集構造はその維持力・復元力ともに弱い。

4)湖沼管理への応用とその問題点
 アオコの大発生による毒性や悪臭の発生、景観への悪影響を簡単に、コストをかけずに取り除ける点、ハクレンを用いたバイオマニピュレーションは有効といえる。中国ではハクレンは重要な水産資源であるので、湖水の窒素・リンをハクレンの水揚げにより回収できる。しかし、ハクレンの導入により、透明度の上昇やクロロフィル量の低下は必ずしも期待できない。また、ハクレンの導入は、ピコプランクトンを確実に増やし、かつ溶存態無機窒素の濃度を上げるため、その水を飲料水などに利用する場合などには注意を要する。

表1  各隔離水界に導入したハクレンの放流数,現在量と成長量
図6  水界S1,S2,S3はハクレン導入の影響を評価するために,またR1,R2,R3,はハクレン除去の影響を見るために使用した
図7  サイズ分画ごとのクロロフィルα量の変化
図8  植物プランクトンをハクレン導入と除去に対する反応をもとに分類した。
図9  左と同じ解析を動物プランクトンに対して行ったもの

3.今後の検討課題

 今回の研究で、洞庭湖のプランクトン相ならびに底性動物相の一部が初めて明らかにされた。本湖沼は、三峡ダムの直下に位置することなどから、今後生物相が大きく変化することが予想されるため、継続的な水質ならびに生物群集のモニタリングの実施が望まれる。洞庭湖の湖水は栄養塩濃度が高い割に一次生産量が低く、湖沼の生産構造が世界の亜熱帯湖沼と比較して特殊であることが示唆された。洞庭湖の保全を考える上で、その基礎資料となる洞庭湖の生態系構造と機能の研究が必要であろう。
 東湖の長期変動について解析した結果、一次生産量が80年代でほぼ頭打ちになっているにもかかわらず、漁獲量の増加が続いた。その要因の一つと考えた植物プランクトンの栄養価の問題は、今後の湖沼生態系管理を考える上で鍵となる。すなわち、栄養価の高い植物プランクトン種を優占させることが、高次の食物連鎖への転換効率を高めることになるからである。今後、植物プランクトンの優占性を決定する要因、高次の食物連鎖への転換効率の高い植物プランクトン種の特定などの研究が必要であろう。
 本研究ではハクレンを用いたバイオマニピュレーションの有効性を示したが、その長所・短所を把握した上での実用が望まれる。

〔担当者連絡先〕
国立環境研究所
生物多様性の減少機構の解明と保全プロジェクトグループ
多様性機能研究チーム
高村典子
(Tel & Fax)0298-50-2427

用語解説

  • 富栄養・過栄養
     自然湖沼はその遷移の過程で、湖水の栄養塩が少ない貧栄養から中栄養、富栄養に変化するとされる。しかし、近年の人間活動によりその速度が急速に加速され ており、その過程を富栄養化という。さらに、富栄養以上に栄養塩濃度が高い、過栄養という範疇が作られた(OECD 1982)。
  • バイオマニピュレーション
     生物を操作することによって環境を改善する手法。最近は食物連鎖を用いる狭義の意味に特定して使用することが普通である。
  • 濾食性魚類
     鰓でプランクトンを濾しとって餌を食べる魚の総称。
  • 隔離水界(メソコズムとも呼ぶ)
     一種のモデル湖沼で、実際の湖沼の中を仕切り、生態系の構成要素(水からプランクトン、大型では魚類)をとりこんだ実験生態系をさす。一般には、直径1mから10m程度の大きさである。
  • ピコプランクトン
     超微小サイズ(2μm以下)のプランクトンの総称。主に、細菌と植物プランクトンから構成される。

関連記事

関連研究者

表示する記事はありません