過去50年間にわたる全国湖沼の漁業資源量の変化を解明:魚食性外来魚の侵入により資源量が減少
独立行政法人国立環境研究所
生物・生態系環境研究センター
生物多様性保全計画研究室 研究員
松崎 慎一郎
生物多様性評価予測研究室 主任研究員
角谷 拓
|
国立環境研究所は、農林水産省の調査によって収集・蓄積されている漁獲統計データを用いて、全国23湖沼における過去50年間の資源量の変化を明らかにしました。その結果、近年多くの湖沼で資源量が減少していること、また、資源量の減少や不安定化を引き起こす人為的な要因のうち、魚食性外来魚の侵入の影響が大きいことが示されました。本研究は、湖沼の資源量の現状と傾向を定量的に明らかにした初めての研究であり、今後の資源管理や湖沼生態系管理に活用されることが期待されます。 本研究成果は、2015年1月19日付けで、米国生態学会発行の学術誌「Ecological Applications」の先行オンライン版に掲載されました。 |
1.概要
漁業資源を持続的に利用するためには、資源量の状態や傾向を正確に把握し、それに影響を及ぼす要因を特定することが重要です。しかし、これまで資源量の評価に関する研究の多くが海面漁業に注目したものであり、湖沼等の内水面の資源量を定量的に把握した研究はほとんどありませんでした。
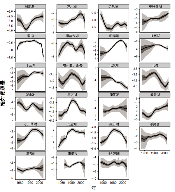
そこで、本研究では、農林水産省の「漁業・養殖業生産統計(毎年実施)」と「漁業センサス(5年毎に実施)」の2つの統計に着目しました。これらの統計データを統合することで、全国規模で資源量の指標であるCPUE(単位努力量当たりの漁獲量であり、catch per unit effortの略。資源量の相対的な増減を示す指標。以降、相対資源量と呼ぶ。)を算出できると考えました。これらの統計データには、多くの欠損値が含まれるため、これまで資源量の評価に活用されることはありませんでしたが、本研究では、欠損値を補完することが可能な状態空間モデルと呼ばれる統計手法を用いて、全国23湖沼(図1)における相対資源量の長期的な変化を明らかにしました。

2.方法
● 相対資源量の推定
漁獲量・努力量(年間従事日数)・漁獲効率(動力船の占める割合)の3つの要素から、各湖沼の相対資源量を推定しました。「全漁獲物(魚類・エビ類・貝類等すべての漁獲対象種の合計)の相対資源量」について、状態空間モデルを用いて湖沼ごとに年ごとの相対資源量を推定しました。
● 相対資源量の変化率と安定性
推定された相対資源量から、湖沼ごとに、過去10年(1998-2008年)、20年(1988-2008年)、30年(1978-2008年)の3期間における相対資源量の変化率と安定性について評価しました。
● 相対資源量の変化率と安定性に影響する湖沼の特性と人為的要因の分析
湖沼の特性には、最大水深・面積・湖面積に対する流域面積・汽水/淡水の4つの変数を用いました。人為的要因として、富栄養化、湖岸改変、外来魚の侵入の3つの影響を検討しました。富栄養化の指標については全リン濃度を、湖岸改変についてはコンクリート護岸率を用いました。また、外来魚については、上位捕食者として在来生態系への影響が大きいと考えられる魚食性の外来魚7種(オオクチバス・ブルーギル・チャネルキャットフィッシュ・カムルチー・ニジマス・ブラウントラウト・カワマス)を対象としました。

3.主な成果
● 全国23湖沼の相対資源量の変化
過去10年間では17湖沼、過去20年間では19湖沼、過去30年間では15湖沼で相対資源量の減少が認められ(図2)、それらの湖沼の平均減少率は、各期間でそれぞれ48.7%、42.2%、45.1%でした。また、13湖沼についてはいずれの期間でも相対資源量が減少していることが分かりました。
● 相対資源量の変化率と安定性に影響する要因
要因解析の結果、魚食性外来魚の侵入が相対資源量の減少に大きく寄与しており、魚食性外来魚の機能群数(※1)が増加するほど相対資源量がより減少することが明らかになりました(図3)。一方、富栄養化および湖岸改変が相対資源量へ及ぼす影響は、相対的に小さいことが分かりました。
相対資源量の安定性については、大きい湖沼ほど安定性が高く、小さい湖沼ほど不安定になりやすいことが分かりました。また、魚食性外来魚の機能群数が増加すると相対資源量が不安定化することも明らかになりました。以上の結果から、魚食性外来魚の侵入とそれらの機能群数の増加は、資源量そのものを減少させるだけではなく、資源量の安定性にも影響を及ぼす可能性が示唆されました。

4.課題と展望
本研究の結果から、日本の多くの湖沼で、資源量が減少していることが明らかになりました。50年にわたる長期的な資源量の変化に関する知見は、各湖沼の資源管理や国全体の保全施策の立案等に活用されることが期待されます。また、資源量の減少と不安定化をもたらす主要な要因は、魚食性外来魚の侵入であることが分かりました。今回見られた相関関係は、必ずしも因果関係を示しているわけではありませんが、日本の湖沼にはもともと魚食性の魚が少ないこと、在来種と特性や機能が異なる機能群の侵入は在来の生物や生態系に甚大な影響を及ぼすことが先行研究から示されていること(参考文献1)、また国内でも魚食性外来魚の侵入により水産有用種を含む在来魚の減少や消失が報告されていること(参考文献2,3)を踏まえると、魚食性外来魚の侵入が直接的・間接的に資源量を減少させている可能性が考えられます。資源量を回復するためには、魚食性外来魚の対策や管理(新たな侵入の防止、駆除や低密度管理、効果的な駆除手法の開発など)を優先的に講じる必要があると考えられました。
本研究では、乱獲(過剰な利用)の影響を明示的に評価していませんが、多くの湖沼において、1980年代以降、努力量が大きく減少しているにも関わらず、相対資源量が減少していました。このことから、乱獲の影響は小さいと推測されます。一方で、今回の解析では、全漁獲物の相対資源量を評価しているため、乱獲の影響を過小評価している可能性があります。各湖沼における種ごとの動態は不明な点も多いため、今後、種ごとの資源量に関する調査・研究が不可欠です。また、水産放流の影響など本研究では十分に考慮できていない要因の検証も進める必要があります。
いま内水面漁業は、資源量の減少だけでなく、需要の減少、高齢化・後継者不足など様々な課題を抱えています。漁業資源の持続的な利用に向けて、社会経済的な分析や将来ビジョンの設計などより多面的な角度から研究を進める必要があります。
5.問い合わせ先
独立行政法人 国立環境研究所 生物・生態系環境研究センター 研究員
松崎慎一郎(まつざき しんいちろう)
電話:029-850-2087
e-mail: matsuzakiss (末尾に@nies.go.jpをつけてください)
独立行政法人 国立環境研究所 生物・生態系環境研究センター 主任研究員
角谷拓(かどや たく)
e-mail: kadoya (末尾に@nies.go.jpをつけてください)
6.発表論文
Matsuzaki, S.S.※, Kadoya, T.※ (in press) Trends and stability of inland fishery resources in Japanese lakes: introduction of exotic piscivores as a driver. Ecological Applications.
※著者らは同等に貢献
7.参考文献
-
1. Strayer D.L., Eviner V.T., Jeschke J.M. and Pace M.L. (2006) Understanding the long-term effects of species invasions. Trends in Ecology & Evolution 21:645-651.
-
2. Maezono Y. and Miyashita T. (2003) Community-level impacts induced by introduced largemouth bass and bluegill in farm ponds in Japan. Biological Conservation 109: 111-121.
-
3. Matsuzaki S.S., Takamura N., Arayama K., Tominaga A., Iwasaki J. and Washitani I. (2011) Potential impacts of non-native channel catfish on commercially important species in a Japanese lake, as inferred from long-term monitoring data. Aquatic Conservation Marine and Freshwater Ecosystems 21:348-357.
-
4. Matsuzaki S.S., Sasaki T., and Akasaka M. (2013) Consequences of the introduction of exotic and translocated species and future extirpations on the functional diversity of freshwater fish assemblages. Global Ecology and Biogeography 22: 1071-1082.
8.研究助成
本研究は環境省環境研究総合推進費「アジア規模での生物多様性観測・評価・予測に関する総合研究(S-9)」および国立環境研究所生物・生態系環境研究センターのセンター内公募研究の研究助成を受けて実施されました。
9.用語説明
※1: 類似した生態や機能をもつ種のグループの数。生態系プロセスや生態系機能への影響を説明するうえで、単純な種数よりも、機能群数のほうが重要であることが知られています。本研究では、魚食性外来魚7種について、サイズ・食性・生息場所・産卵数など様々な生態学的な特性に基づき(参考文献4)、5つの機能群に分類しました。
10.写真

