製品中に含まれる臭素系難燃剤の排出過程
【研究ノート】
私たちは、思いの外長い時間を室内(屋内)で過ごします。平均して一日当たり21時間程度を屋内で過ごすという調査データがあります。筆者の一人(滝上)は、特に室内で使われる製品を対象に、その製品に添加された難燃剤(製品を燃えにくくし延焼を遅らせるための添加剤)が、使用中にどの程度、またどのように排出されるのか、測定してきました(国環研ニュース 28巻6号の記事をご参照ください)。この一連の研究をさらに発展させ、臭素系難燃剤の、製品からの排出や室内での動きを、メカニズムを踏まえて理解するために、研究を進めています。研究の柱は二つあります。第一は、異なる測定方法によって得られた排出データを、排出や室内の動きのメカニズムと関連づけながら比較を行うこと。第二は、臭素系難燃剤の製品からの排出や室内での動きを数式モデルで記述し、測定データとモデル計算結果とを突き合わせて、排出のメカニズムを調べることです。
-
国立環境研究所ニュース 28巻6号
はじめに、難燃剤としてポリ臭素化ジフェニルエーテル(PBDE、この場合主成分は decaBDE)を含むテレビケースとヘキサブロモシクロドデカン(HBCD)を含む防炎カーテンからの、これら難燃剤の排出を測定した結果をまとめて示します。空間スケールの異なる三種類の方法で、排出フラックス(面積・時間当たりの排出量)を調べています。放散サンプラーは、直径7cmのステンレスの小型円筒容器(内容積:約210 cm3)に、吸着剤としてポリウレタンフォームを取り付けたもので、サンプラーを製品表面に取り付けるか、製品の一部をサンプラー内に置きます。放散測定用チャンバーは、気密性の高いステンレス製の箱(内容積:2.1 m3)で、その中に製品を設置し、チャンバー内の空気に排出された対象化合物を吸着剤(XAD-2)に吸着させ、また、実験終了時にチャンバー内壁面に付着した分を拭き取ることで、排出フラックスを調べます。また、一般住宅のモデルルーム(6畳間、23 m3)に、これら製品を設置し、室内空気を採取、分析し、外気中の濃度や換気を考慮して排出フラックスを算出しました。
放散サンプラーと放散測定用チャンバーでの測定によって得られた排出フラックス(図1)は、テレビケースからのPBDEは10 ng/(m2 h)のオーダー、カーテンからのHBCDは100 ng/(mm2 h)のオーダーで、製品や測定条件の違いがありますが、いずれも比較的よく合っていました。一方、モデルルーム実験での測定結果は、これらと比べて、1桁から2桁低い値となりました。モデルルーム実験は、実際の生活空間を再現した条件での室内空気への排出(ガス態および浮遊粒子態)を把握できる一方、室内空気の測定だけでは、床・壁面などやハウスダストへ移行した分の大半を把握できないと考えられます。なお、これらの実験の測定期間は、放散サンプラーでは3-4週間、放散測定用チャンバーでは72時間、モデルルームでは2日間と、製品寿命にくらべて比較的短期間で行われており、製品素材(プラスチックや繊維)の劣化に伴う剥離、それに伴うハウスダストへの混入イベントなどの長期挙動は把握できない可能性があります。

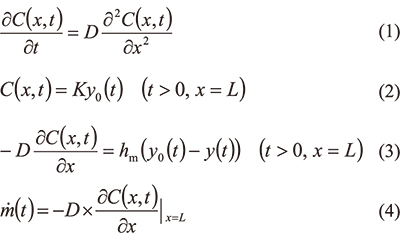
次に、製品表面から室内空気への臭素系難燃剤の排出(ガス態)を、以下の数式で記述しました。製品部材内の移動は拡散方程式により(式(1))、部材表面とガス態とは分配平衡と見なし(式(2))、部材表面近くの空気境界層での濃度勾配を考慮(式(3))した上で、排出フラックスを記述する(式(4))ものです。
ここで、Cは部材中の難燃剤濃度、xは部材厚さ方向の位置(0≤x≤L)、tは時刻、Dは部材内の拡散係数、hmは境界層における物質移動係数、Kは部材-大気分配係数、yは室内空気中濃度、y0は部材表面における空気中濃度、そしてm(t)が時刻tにおける排出フラックスです。この数式で排出フラックスを計算するために必要な、製品や化合物の性状に基づくパラメーター(D, hm, K)の値は、文献データの参照あるいは予測式での推定によって求めました。>受賞者からひとこと:
2014年3月4日から6日まで東京で開催された第9回日本LCA学会研究発表会において、京都大学の東野達氏との共同研究の成果として「日本の家計消費とレアメタル国際フローとの関係」と題したポスター発表を行い、優秀ポスター賞を授与されました。国内家計消費に由来するネオジムの国際資源依存度を、少子高齢化に着目して2005年から2035年までの将来推計を行うとともに、商品需要とその依存度の関係性を詳細に解析しました。ネオジムはHDDや携帯電話などに広く用いられているレアアースの一種で、ハイブリッドカーや風力発電設備といった低炭素化技術にも必須の金属です。当日は様々な研究者の方にお集まりいただき、ご助言やご意見をいただくことで大変有意義な発表となりました。今回の受賞を励みに、さらに研鑽を積んでいく所存です。
現在までのところ、数式モデルによる計算結果は、測定値と合いません。たとえば、テレビケースに添加されたdecaBDEを想定し、この数式モデルで排出フラックスを計算したところ、0.004 ng/(m2 h)程度となり、図1に示した測定値を3桁以上過小評価しました。用いた個々の数式は一般的なものであり、同様の研究目的での他種化合物への適用例もありますが、ここで考えた臭素系難燃剤の排出に適用するには適切な組み合わせでないのかもしれません。また、ガス態での排出以外のメカニズムが重要だという可能性もあります。
製品からの臭素系難燃剤の排出のメカニズムについては、現在、学会でさまざまな議論、提案が行われている段階で、室内での挙動も含めて、理解が定まっていません。製品からの排出経路の全体像を、数式でどのように記述するか、まだ確立しておらず、研究が行われているところです。私たちも、ガス態での放出について式(1)-(4)の形で良いのかというところに立ち返り、検討を行っています。また、室内空気中の浮遊粒子、あるいはハウスダストへの排出を示唆する研究が出てきており、これらの排出経路(図2)についても数式による記述を考えていく必要があります。難燃剤は、多くの種類があり、また、新しい化学物質による代替も頻繁です。私たちの研究はそのなかで限られた難燃剤化合物を対象にしていますが、そこで明らかにしたメカニズムを、他の化合物に適用していく構想です。

化学物質が、いつ、どこで、どのように排出されるかというのは、化学物質が人間や環境に与える悪影響を防止、管理する際の、大切な問いです。現在参画している国際的な研究プロジェクトを通じた情報交換も踏まえて、研究を進め、化学物質の排出と化学物質への曝露の理解に科学的に貢献したいと考えています。
たきがみひでたか、資源循環・廃棄物研究センターライフサイクル物質管理研究室長)
執筆者プロフィール
(櫻井)東京出身。黎明期のパソコン通信に親しんだのも今は昔、LINE、ツイッターに全くなじめない自分は、単に歳を取ったのか、生活に余裕が無いか。
(滝上)受験期の知識が30代で「リセット」され、マネージメント業務が多くなった現在は、20-30代で身に付けた実験研究者としての感覚が薄らぎつつある・・・。第3の中興の波が必要だと、同世代で話し合っているところ。興味と熱意があればできるはず、手を動かす時間をしっかり確保していきたい。
目次
関連記事
表示する記事はありません