世界に先がけ、アオコ有毒物質の分析法を開発
Interview 研究者に聞く

佐野友春
環境計測研究センター 環境計測化学研究室 主任研究員
環境計測研究センター 環境計測化学研究室 主任研究員
国立環境研究所では、アオコなど微細藻類が作る有毒物質の構造の解析や分析法の開発を行っています。この研究に取り組んでいる環境計測研究センター環境計測化学研究室 主任研究員の佐野友春さんに、研究の取り組みと成果についてうかがいました。
有毒物質を作るアオコ

アオコが発生した湖
-
Q:アオコとは何ですか。佐野:夏の日に池や湖の水面が緑色の粉をまいたように見えることがあります。あの現象が「アオコ」です。藍藻(シアノバクテリア)という植物プランクトンが大量に発生したものです。(図1)「水の華」と呼ばれることもあります。

図1 アオコをつくる藍藻類と有毒物質
アオコとは、藍藻(シアノバクテリア)と呼ばれる植物プランクトンが富栄養化した湖沼などで異常に増殖し、水面に集積したもので「水の華」とも呼ばれます。アオコを形成する主な藍藻として、ミクロキスティス属、アナベナ属、プランクトスリックス属、アファニゾメノン属、シリンドロスパーモプシス属等が知られています。
アオコは見た目が悪いだけでなく、腐ったときに悪臭を放つとともに、魚類の大量死を引き起こしたりします。また、アオコを形成する藍藻の中には有毒な種類も知られていて、いろいろな化学構造の有毒物質を作っています。主な有毒物質はミクロシスチン、シリンドロスパーモプシン、アナトキシン-a、サキシトキシンなどですが、これらの毒性は青酸カリよりもずっと強く、1/10から1/200程度の量で致死毒性を示すことが知られています。1種類の藍藻が多種類の有毒物質をつくったり、1種類の有毒物質を様々な藍藻類が作っていることが知られています。
アオコは見た目が悪いだけでなく、腐ったときに悪臭を放つとともに、魚類の大量死を引き起こしたりします。また、アオコを形成する藍藻の中には有毒な種類も知られていて、いろいろな化学構造の有毒物質を作っています。主な有毒物質はミクロシスチン、シリンドロスパーモプシン、アナトキシン-a、サキシトキシンなどですが、これらの毒性は青酸カリよりもずっと強く、1/10から1/200程度の量で致死毒性を示すことが知られています。1種類の藍藻が多種類の有毒物質をつくったり、1種類の有毒物質を様々な藍藻類が作っていることが知られています。
-
Q:水の華とは、おもしろいですね。佐野:水面の色を変えてしまうほどだからでしょうね。赤潮とよく似ていますが、赤潮は主に海で植物プランクトンが大量発生する現象です。一方、アオコは池や湖沼などの淡水でしか起こりません。都市化が進んだり、産業活動が発展したりして、排水に含まれる窒素やリンなどが池や湖に大量に流れ込んで、富栄養化したことが原因です。アオコが腐敗すると悪臭が発生しますし、大量の酸素を消費するために、魚類が酸欠状態になって大量死を招くことがあります。
-
Q:アオコに毒があるのですか。佐野:藍藻にはたくさんの種類がありますが、その中には肝臓や神経に対する毒性をもつものがあります。その有毒物質が自然の生態系や人の健康に深刻な影響を及ぼすことがあるんですよ。アオコが発生すると、地域の飲料水の供給が滞ることもあります。有効な水資源の減少にもつながる深刻な問題です。それに加えて、有毒なアオコが問題になっています。
-
Q:過去に有毒なアオコで事故などが起こったことはあるのですか。佐野:1920年代から世界中で問題になっており、国内外で野鳥や家畜に被害があった例が多数報告されています。1996年にはブラジルで、アオコが発生する水源を利用していた病院で50名以上の透析患者が亡くなるという不幸な事故がありました。原因を詳しく調べてみると、水源には有毒な藍藻が発生していました。さらに、水が十分に浄化されていなかったようです。そのため、アオコの毒が透析に用いる水に混入したのです。幸い日本では、人への目立った健康被害は報告されていませんが、いろいろなところで富栄養化が進んでいますから、これからも問題となり続けるでしょう。そのためにもアオコの有毒物質についての研究を進める必要があります。
-
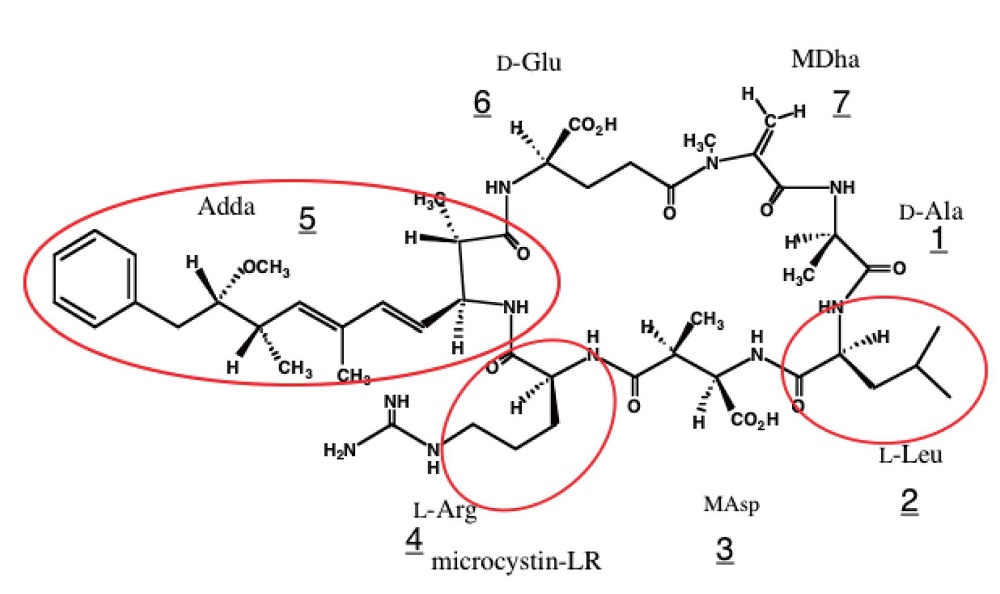
Q:どんな毒が知られていますか。佐野:肝臓毒では「ミクロシスチン」や「シリンドロスパーモプシン」、神経毒では「アナトキシン」や「サキシトキシン」などがよく知られています(図1)。中でも私たちが注目し、研究を進めているのが「ミクロシスチン」です(図2)。

図2 ミクロシスチンの構造
ミクロシスチンは7つのアミノ酸からなる環状ペプチドで、一般構造式はCyclo-[D-Ala-L-X-D-MeAsp-L-Z-Adda-D-Glu-MDha]で表されます。2番目と4番目のL型のアミノ酸を1文字表記で表し、2番目がロイシン(L)、4番目がアルギニン(R)のものは、ミクロシスチン-LRと呼ばれます。また、この一般構造式とは異なるアミノ酸残基を持つものは、その残基とアミノ酸の位置がわかるように、例えば3番目のD-eAspがD-Aspになったミクロシスチン−LRは、[D-Asp3]ミクロシスチン-LRのように表します。ミクロシスチンには、2番目と4番目のL-型アミノ酸の組み合わせが異なる同族体や3、5、7番目のアミノ酸残基のメチル基が少ない同族体など、100種類以上の同族体が報告されています。
-
Q:ミクロシスチンとはどんな物質ですか。佐野:ミクロキスティス属などに分類される藍藻が作る肝臓毒で、100種類以上の同族体が知られています。同族体は、一つの一般式で示すことができ、化学的性質が互いに類似した一連の有機化合物のことをいいます。ときに構造はよく似ていながらも、作用が大きく違うことがあります。先のブラジルの事故の原因もミクロシスチンでした。
-
Q:毒は規制されているのですか。佐野:1998年にはWHOから有毒アオコや有毒物質に関する報告がなされて、暫定的な規制値として飲料水中のミクロシスチンの濃度を1μg/L以下にするように勧告しています。日本でも環境基準の要調査項目や水道法の要検討項目に指定されていて、健康被害を抑制するために感度や精度の高いミクロシスチンの分析法の開発が求められています。
新しいミクロシスチンを発見

サンプリング
-
Q:ミクロシスチンにはそんなにたくさんの種類があるのですか。佐野:そうなのです。私がミクロシスチンの構造解析を始めた20年ほど前で、すでに70種類以上のミクロシスチンが報告されていました。ですから、もう新しい種類はみつからないだろうと思われていまた。そのころ、ミクロシスチンの構造を解析する方法として、高速液体クロマトグラフ-タンデム型質量分析計(LC-MS/MS)を使って解析することが主流となりつつありました。この方法ならば、少量の試料で高感度に解析できるからです。ところが、当時の研究室には、まだその装置がありませんでした。そのため、私たちは、藍藻からミクロシスチンの成分を取り出して、分離精製後、核磁気共鳴装置(NMR)で構造を解析するという従来の方法を使って解析することにしました。
-
Q:新しいミクロシスチンを見つけることはできましたか。佐野:はい。NMRでの分析では、有毒物質を作る藍藻を1000リットル以上培養しなければならないときもあり苦労しました。おかげでNMRを使わないと他と区別が難しい新しいミクロシスチンを見つけることができました。Dhb-ミクロシスチンと名付けたもの で、ミクロシスチンの構造の中でわずかに官能基の位置が違うものです。NMRを使わなければ、わずかな構造の違いは見分けられなかったでしょう。Dhb-ミクロシスチンはNMRで分析したからこそ見つかったと思っています。今報告されている11種類のDhb-ミクロシスチンのうち9種類は私たちが構造を決めたものです(図3)。

図3 Dhb ミクロシスチンの発見
ミクロシスチンを構成する7番目のアミノ酸残基がデヒドロアラニン(Dha)からデヒドロブチリン(Dhb)に変わったミクロシスチンの総称。1995年にDhb-ミクロシスチン-RRの構造を世界に先駆け報告し、Dhb-ミクロシスチンと命名しました。Dhb-ミクロシスチンのDhb残基には幾何異性体(EとZ)が存在していて、核磁気共鳴スペクトル(NMR)以外では識別が困難です。上段の図[Dha7]microcystin-LR)では赤い矢印部分に鋭いシグナルが2本見られますが、中段の図([D-Asp3,(E)-Dhb7]microcystin-LR)では一組の4重線が5.7ppm付近に見られます。下段の図([D-Asp3,(Z)-Dhb7] microcystin-LR)では一組の4重線が6.4ppm付近に見られます。このようにNMRスペクトルではDhb-ミクロシスチンは6ppm付近に特徴的な4重線のシグナルが現れるので、容易に区別することができますが、質量分析では同じ質量数の同族体、特に[D-Asp3]ミクロシスチン類との区別が困難です。
-
Q:見つかったミクロシスチンの毒性は強いのですか。佐野:ミクロシスチンの中で毒性が強いとされる同族体(例えばミクロシスチン-LR)と比べると、マウスに対する毒性は若干弱いです。しかし、肝細胞に対する毒性を指標として比較すると、Dhb-ミクロシスチン類はミクロシスチン-LRよりも毒性が強いという結果が出ています(表1)。Dhb-ミクロシスチンは代謝されづらいので、生物の体内に入ると長期間毒性を示す可能性があり、発ガン物質となるのではないかと危惧しています。

表1 ミクロシスチン同族体の相対細胞毒性
ミクロシスチン同族体の初代培養肝細胞に対する細胞毒性の強さをミクロシスチン-LR(10)を1として評価しました。表の上の相対LC50(半数致死濃度)の値が小さい同族体ほど細胞毒性が強いことを表しています。ミクロシスチン同族体の構造により毒性の強さにかなり差があることがわかりました。我々が発見したDhb-ミクロシスチン類(1、2、3、4)は、肝臓の細胞に対する細胞毒性がミクロシスチン−LR(10)より強いという結果になっています。また、Dhb-ミクロシスチンでは7位のDhb残基がZ型の配置を取っている方(1、2)が細胞毒性は強いことがわかりました。
一方、2番目と4番目のアミノ酸がアルギニンのミクロシスチン-RR(16)とその類縁体(12、13、14、15)は比較的細胞毒性が弱いことがわかりました。
LC50:半数致死濃度
一方、2番目と4番目のアミノ酸がアルギニンのミクロシスチン-RR(16)とその類縁体(12、13、14、15)は比較的細胞毒性が弱いことがわかりました。
LC50:半数致死濃度
-
Q:ミクロシスチンの中には無毒のものもあるのですか。佐野:無毒の種類もあります。また、ミクロシスチンは紫外線が当たると無毒な[6-(Z)-Adda5]ミクロシスチンに変わることが知られています。このミクロシスチンは、湖沼でアオコを採集してくると、10%程度含まれています。さらに、[6-(Z)-Adda5]体以外にも無毒なトリシクロ体が生成することを見つけました。
アオコの毒を分析する

アオコの培養
-
Q:なぜ水の中のアオコの有毒物質ミクロシスチンを分析するのでしょうか。佐野:健康被害を防ぐためです。まず飲料水源や飲料水中のミクロシスチン量を分析することが必要とされました。そのため、二つの方法が検討されました。ひとつは、危険性の目安としてミクロシスチンの総量を分析する方法で、もう一つは毒性を正しく評価するためにたくさんある同族体を個別に分析する方法です。
-
Q:ミクロシスチンの総量を分析する方法はどうやって行うのでしょうか。佐野:分析機器を使って毒を解析する化学的な方法もあれば、マウスや細胞・酵素・抗体などを使ってミクロシスチンの毒性を評価する生物学的な方法もあります(表3)。
生物学的な方法では、試料中に含まれているすべてのミクロシスチンを総量として分析できますが、精度はあまりよくありません。

表2 一般的な機器分析手法と特徴

表3 ミクロシスチン分析手法の比較
主なミクロシスチン分析手法についてWHOの暫定基準値である1μg/L程度のミクロシスチンを測定する場合を想定して比較してみました。
個別分析法では、LC-MS/MS法が感度・精度・選択性・迅速性全てで優れていますが、分析機器が高額です。NMRは感度が低いので、低濃度の分析は現実的ではありません。
総量分析法では、ELISA法は感度は高いのですが精度が高くなく、キットも高額です。グルタチオン付加-発色法は精度は良くないですがコストが安く、高額な機器を必要としないことから、開発途上国でも使いやすい分析法と思われます。
(測定値のばらつきが小さいと精度が高い、微量で測定できると感度が高い、同族体を区別できると選択性が高いと表示しています。)
個別分析法では、LC-MS/MS法が感度・精度・選択性・迅速性全てで優れていますが、分析機器が高額です。NMRは感度が低いので、低濃度の分析は現実的ではありません。
総量分析法では、ELISA法は感度は高いのですが精度が高くなく、キットも高額です。グルタチオン付加-発色法は精度は良くないですがコストが安く、高額な機器を必要としないことから、開発途上国でも使いやすい分析法と思われます。
(測定値のばらつきが小さいと精度が高い、微量で測定できると感度が高い、同族体を区別できると選択性が高いと表示しています。)
-
Q:それで新たな分析法を開発したのですね。佐野:そうなんです。MMPB法という試料中のすべてのミクロシスチンを分析する方法を開発しました(図4)。

図4 ミクロシスチンの総量測定法(MMPB法)の開発
ミクロシスチンの構造にはAddaと呼ばれる炭素20個のβ-アミノ酸、3-アミノ-9-メトキシ-10-フェニル-2,6,8-トリメチル-4,6-デカジエン酸が共通構造として存在しています。このAddaの二重結合部分を過マンガン酸カリウム(KMnO4)と過ヨウ素酸ナトリウム(NaIO4)で酸化して分解すると、ミクロシスチン1分子からMMPB(3-メトキシ-2-メチル-4-フェニル酪酸)が1分子生成します。生成したMMPBを測定することにより、ミクロシスチンの総量を測定する方法がMMPB法です。開発当初は生成したMMPBを蛍光ラベル後、HPLC−蛍光検出器で測定していました。その後、MMPBをメチルエステルとした後、GC/MSで測定する方法も開発しました。今では生成したMMPBを固相抽出し、誘導体化することなしにLC-MS(/MS)で測定しています。筋肉などの生体試料や湖沼の底質に含まれるミクロシスチンの測定法として広く世界中で使われています。
-
Q:どのように分析するのですか。佐野:すべてのミクロシスチンに共通する部分構造に着目し、その部分(MMPB)を化学的に分析します(図4)。この方法では100種類以上あるミクロシスチンの総量を一つの化合物を測定することで分析できるのです。効率よく測定できるとてもよい方法だと思って います。
-
Q:MMPB法はどんな特徴があるのですか。佐野:MMPB法では、生体成分と結合したミクロシスチンも測定できるのが特徴です。そのため、生物試料中のミクロシスチンの測定にも使われています。
-
Q:どんな時に生物試料を測定するのでしょうか。佐野:たとえば、動物がミクロシスチンを含む水を飲んで、筋肉や内蔵中にミクロシスチンが蓄積することがあります。そんな時に筋肉や内蔵にどれくらいの量のミクロシスチンが蓄積したのかを測定するのにMMPB法はよい方法なのです。生物試料中のミクロシスチンの測定ではMMPB法は、世界中で使われています。
ミクロシスチン分析法を開発

NMR
-
Q:かなり広く使われるようになったのですね。佐野:そうですね。今では、環境省の要調査項目の測定にも使われています。なるべくたくさんのところで、MMPB法を使ってほしいのですが、開発してしばらくはなかなか使ってもらえませんでした。
-
Q:どうしてMMPB法が使われるようになったのですか。佐野:2002年にISO(国際標準化機構)でミクロシスチン分析の国際比較実験を行ったのですが、測定結果にずいぶんばらつきがありました。そこで、ミクロシスチン分析の精度を管理するための環境標準物質を開発しました(図6)。測定する人がみな使える標準物質があれば、精度を管理でき、測定値のばらつきが少なくなり、測定の信頼度も増します。そうすればみんながMMPB法を使ってくれると考えたのです。

図6 環境標準物質の調製
環境標準物質とは、そこに含まれている化学物質の濃度が正確に求められている環境試料で、環境分析における標準として極めて重要なもので、わが国では当研究所の前身である環境庁国立公害研究所が1980年から開発を進めてきました。現在14種類の環境標準物質を頒布しています。
環境試料は化学組成が極めて複雑なため、試料の前処理や測定が難しく、単純な標準溶液を用いたのではなかなか正しい分析値を求めることができません。このような場合には、分析試料と化学組成がよく似た標準物質を用いることにより、分析値の正確さを向上させることができます。
アオコの有毒物質ミクロシスチンの分析精度管理用の環境標準物質を作製するために、有毒な藍藻株を大量に培養し、凍結乾燥しました。乾燥藻体を混ぜ合わせ、63μmのふるいを通しました。この細かい粉体をビンに小分けした後、均質性試験、認証値付与、安定性試験を行い、環境標準物質(NIES CRM NO.26アオコ)が完成しました。NIES CRM NO.26は、ミクロシスチンの分析用に開発された環境標準物質です。
環境試料は化学組成が極めて複雑なため、試料の前処理や測定が難しく、単純な標準溶液を用いたのではなかなか正しい分析値を求めることができません。このような場合には、分析試料と化学組成がよく似た標準物質を用いることにより、分析値の正確さを向上させることができます。
アオコの有毒物質ミクロシスチンの分析精度管理用の環境標準物質を作製するために、有毒な藍藻株を大量に培養し、凍結乾燥しました。乾燥藻体を混ぜ合わせ、63μmのふるいを通しました。この細かい粉体をビンに小分けした後、均質性試験、認証値付与、安定性試験を行い、環境標準物質(NIES CRM NO.26アオコ)が完成しました。NIES CRM NO.26は、ミクロシスチンの分析用に開発された環境標準物質です。
-
Q:それはどうすれば手に入るのですか。佐野:研究所のホームページで購入方法をご案内しています。これは標準物質の成分の分析をきっちりと行ったもので、ミクロシスチンの含有量の保証をしています。
環境標準物質のホームページ
http://www.nies.go.jp/labo/crm/index.html -
Q:開発で苦労したことは何ですか。佐野:MMPB法の開発当初は、分析した毒の量を決めるための標準品が市販されていませんでした。そのため、自分たちで標準品や安定同位体(重水素)標識化合物(MMPB-d3)の合成を行ったことです。今ではMMPBの標準品やMMPB-d3が試薬として市販されていて、切り出したMMPBをそのままLC-MS/MSで分析しています。
-
Q:他にどんな分析法を開発しましたか。佐野:これまで開発してきた方法は高額な分析機器や専門的な知識を必要とします。アオコの問題は世界中で起こっていますから、だれでも分析できる簡便な方法を開発しなければならないと考えました。というのは、途上国の研究者に「高価な機器を買えない私たちは、ミクロシスチンを分析できずにその毒で死んでしまうの?」と言われたことがきっかけです。
-
Q:それで新しい分析法を開発したのですか。佐野:グルタチオン付加法という簡単にミクロシスチンを測定できる方法を開発しました(図5)。これは、グルタチオンという物質を利用して、ミクロシスチンを発色させて検出する方法です。高額な分析機器を必要としないで分析することができます。ただし、この方法はDhb-ミクロシスチン類や[MSer7]ミクロシスチン類の分析には使えません。

図5 グルタチオン付加法
ミクロシスチンをグルタチオンで処理すると、7位のMdha(Dha でも可)残基にグルタチオンの硫黄原子が付加した化合物が得られます。この付加体を薄層クロマトグラフィー(TLC)で展開した後、アミノ酸の発色試薬であるニンヒドリンで発色させて、ミクロシスチンがあるかどうかとおおよその量を分析することができます。TLC で展開しないで、試験管内で発色反応を行うと、比色法でミクロシスチンの測定ができます。この方法では、[MSer7] ミクロシスチンのように7位のアミノ酸残基に二重結合がないミクロシスチン同族体やDhb−ミクロシスチン類はグルタチオンと付加体を作らないため、測定することができません。しかし、このグルタチオン付加法は、測定に高価な機器を必要としないので、開発途上国などでミクロシスチンを測定するための良い方法だと思います。
ミクロシスチンを個別に測定

LC-MS/MS
-
Q:ミクロシスチンを個別に分析する方法はどうやって行うのでしょうか。佐野:WHOが設けているミクロシスチンの暫定基準は、ミクロシスチン-LRの値ですし、日本の上水試験法も同族体(ミクロシスチン-LR, YR, RR)の個別分析です。そうなるとやはり個別でミクロシスチンを分析する必要があります。従来からLC-MS/MSで分 析する方法がありましたが、精度が良くありませんでした。そこで、窒素の安定同位体(15N)が入ったミクロシスチンを作り、それを使ってミクロシスチン-LR、-RR、-YRを高精度で分析する手法を開発しました。今では、安定同位体で標識したミクロシスチンも市販されているので、いずれこの分析手法が世界標準になることを期待しています。
-
Q:アオコの有毒物質で、ミクロシスチン以外にも注目しているものはありますか。佐野:シリンドロスパーモプシンと呼ばれる肝臓毒についても注目しています。ミクロシスチンに次いで高頻度に検出される有毒物質です。熱帯や亜熱帯域で検出されていたのですが、最近石垣島で類縁体が見つかりました。今後は、それらが北上する可能性があります。そのため、日本でも監視が必要となるでしょう。欧米でも問題となっていて、近くWHOで基準値が設定される動きもありますので、監視のための正確な分析法が必要です。そのために、シリンドロスパーモプシンについても窒素の安定同位体(15N)が入ったものを培養で作り、高精度な分析手法を開発しています。
世界標準をめざす
-
Q:開発中の分析法が世界で使われるようになるといいですね。佐野:その通りです。これまで私たちはいろいろな方法や標準物質を開発してきました。将来、私たちが開発した分析法を世界標準や公定法にすることをめざしています。そのためには、精度がよいことはもちろんのこと、繰り返し測定しても苦にならず、だれでも使いやすい方法にすることが必要だと思っています。
-
Q:アオコの毒もまだみつかりそうですか。佐野:アオコの有毒物質には未知のものがまだたくさんあります。これからも新しいものを見つけたいですね。そうして、見つけた新しい有毒物質が、アオコの毒性のメカニズムの解明や新薬の開発につながることを期待しています。
目次
目次
- 環境儀 NO.52
- Summary
- 研究をめぐって
- 環境儀 NO.52 [4.2MB]