有害化学物質情報の生体内高次メモリー機能の解明とそれに基づくリスク評価手法の開発に関する研究(特別研究)
平成15〜17年度
1 研究の背景と目的
近年、居住環境が原因と考えられる「シックハウス症候群」や「多種化学物質過敏状態」(いわゆる化学物質過敏症)の増加が報告され、いずれも室内などに存在している比較的低濃度の化学物質の影響が関与して健康を害していると考えられている。最近の居住環境による健康影響を評価する際、室内濃度レベルの揮発性化学物質による健康不良の誘導は、これまでの毒性発現の機構では説明できない反応がおきている可能性がある。低濃度域での揮発性化学物質の曝露による神経—免疫軸を中心とした機能への影響については、国際的にも報告が非常に少ない。本研究では、神経—免疫—内分泌系の機能の中で情報の蓄積される記憶の機構に焦点をあて、比較的低濃度の揮発性有機化合物の影響を明らかにすることを目的とした。
2 報告書の要旨
課題1:脳・神経系における化学物質の影響解析
低濃度ホルムアルデヒド曝露により、動物の学習行動や記憶機能に密接に関連している海馬におけるグルタミン酸受容体サブユニットの遺伝子発現が有意に増加することを明らかにした。グルタミン酸受容体を介してCa2+の流入が促進し、リン酸化酵素を活性化して、転写因子のリン酸化を誘導する。これによって新たな蛋白の合成が起こり、長期の記憶形成に結びつく。アレルギーモデルマウスにホルムアルデヒド曝露を行った結果でも、サブユニットNR2A遺伝子の発現増強に働くことが明らかとなった(図1)。受容体の拮抗的阻害剤MK-801の投与は、発現増強を抑制した。また、NMDA受容体遺伝子の発現の制御にかかわるドーパミンの受容体であるD1とD2遺伝子の発現が、曝露により有意に増加することを明らかにした。化学物質の特異性を調べるため行った低濃度のトルエンの長期曝露では、マウス海馬においてNMDA受容体サブユニットNR2Bの遺伝子発現増強を介して細胞内情報伝達網のアップレギュレーションを引き起こすことを明らかにした。ホルムアルデヒドとトルエン曝露でグルタミン酸受容体サブユニットへの影響に違いがあることも明らかとなった。したがって、曝露により海馬におけるNMDAやドーパミン受容体遺伝子の発現に変化がみられたことは、低濃度、長期の曝露が海馬において記憶・学習機能に重要な役割を果たしている記憶形成機構に過敏な状態を生じたことを示唆する。
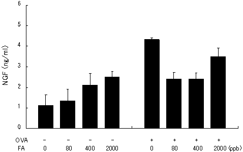
課題2:免疫系における化学物質の影響解析
低濃度ホルムアルデヒド曝露では、免疫記憶の情報伝達経路、少なくともリンパ球の増殖、分化、抗体産生の増強などを促進したり、アレルギー反応を増強するようTh1/Th2バランスをかく乱する作用は認められなかった。しかし、炎症にかかわるケモカインCCL2では、血漿中のCCL2産生の低下や脾臓細胞からのCCL2産生の亢進など鋭敏な変動が認められた。低濃度トルエンの12週間曝露では、血漿中の総IgE抗体価の有意な上昇がみられ、肺胞洗浄液中のIFN-γ産生の抑制も認めた(図2)。低濃度長期のホルムアルデヒド曝露は、抗原刺激との併用により肺においては神経成長因子NGFの産生で逆U字の反応を誘導するなど(図3)組織による違いがみられ、神経—免疫ネットワークのかく乱作用を誘導していることが明らかとなった。
課題3:体内動態の測定および曝露評価と評価手法の開発
揮発性化学物質の体内動態を調べるために、海馬の領域にカニューラを装着したマウスにトルエン鼻部曝露した(図4)。曝露直後、SPMEで2分間処置して、GC/MSでトルエン量を測定した(図5)。その結果、曝露濃度の増加に応じて海馬近傍からSPMEに吸着されたトルエン量は増大していることが確認された(図6)。SPMEを用いて脳内での揮発性物質を簡便に、短時間で検知する手法を開発できた。また、In vivo マイクロダイアリシス(微小透析)法を用いて生存しているマウスの脳内でのグルタミン酸やGABAなどの神経伝達物質の変動の検知にも成功した。In vivo 微小透析法は、先のSPMEと組み合わせると生きたままリアルタイムの神経伝達物質の動きと化学物質の体内の濃度とを測定でき、化学物質の濃度と神経伝達の情報の動きとの関連を解析する上で新たな手法として展開できると考える。






独立行政法人国立環境研究所
環境リスク研究センター 藤巻 秀和
Tel.029-850-2518