ヒト脳をモニタリングする 〜MRIを用いてグルタミン酸とGABAを測る〜
1.はじめに
私たちは,化学物質がヒトの脳にどのような影響を与えるのかということに関して,ヒトの脳を直接測定するという観点から研究を進めています。化学物質の影響に関する研究方法としては,動物実験による方法,すなわち化学物質を曝露して,この影響を調べるという方法が多くとられています。しかしながら,ヒトの脳に対しての影響は,動物実験で得られる結果とは異なっているのではないかという疑問点が残ります。そこで,私たちは,磁気共鳴診断装置(Magnetic Resonance Imaging scanner:MRI scanner,以下MRI装置と呼びます)を利用して,ヒトの脳を直接測定するというアプローチをとっています。言うまでもありませんが,ヒトを直接測定する場合,動物実験のような曝露実験のアプローチはとることができませんので,曝露情報の取得に関する検討も重要な研究テーマになってきます。これに関しては,「4.おわりに」でふれたいと思います。
ご存知の読者の方も多いと思いますが,このMRI装置は多くの病院で活躍している装置でして,X線を用いる装置とは異なり放射線被爆の無い装置です。この装置で例えば患者さんの脳の断層写真を撮ることができます。一般の病院で利用されているMRI装置は,1.5テスラ(1.5T)の磁場強度の装置ですが,私たちは,3倍程度強い磁場強度の4.7T MRI装置を用いて脳に関する環境研究を進めています。
私たちが進めている一つの方法が,ヒト脳のモニタリングです。ヒトの脳のデータ集積をもとに,私たちの脳に何か良からぬことが起きていないか,世代間に特徴的な差は生じていないかなどの観点から解析を行おうとしています。このモニタリングによって得られる重要な情報の一つが,ヒト脳の3次元画像です。脳は,神経細胞が多く含まれる灰白質,脳内の電気信号の情報伝達に重要な神経線維が多く含まれる白質と,脳脊髄液の3部分に大別できますが,上記の3次元画像をデータ解析することによって,これらの3部分それぞれの情報を取得することができます。
このようにMRI装置では脳の高精細な画像の取得が可能ですが,脳内で行われている化学反応,これを代謝と呼びますが,この結果合成される代謝物デ ータも取得することができます。この一つの代謝物の例が,脳内の情報伝達に重要な役割を持っている神経伝達物質と呼ばれているグルタミン酸やγ-アミノ酪酸(GABA)です。今回,このグルタミン酸やGABAがヒトの脳から直接観測できるようになりましたので紹介します。
2.脳の情報のやりとり
脳の細胞は,大きく分けて神経細胞(ニューロン)と神経膠細胞(グリア細胞)とに分類できます。ニューロンは,細胞体,樹状突起,軸索とで構成され,情報は細胞体から軸索を通って電気信号として伝えられます。軸索上を電気信号で伝わった情報は,ニューロンとニューロンのつなぎの部分まで到達します。このつなぎの部分をシナプスと呼びますが,この部分の情報の伝達は神経伝達物質(ニューロトランスミッター)と呼ばれる化学物質で行われます。これがシナプスから放出され,受容体(レセプター)に結合することで次のニューロンへと情報が伝えられていきます。つまり,神経伝達物質は脳の情報伝達に重要な役割を担っています。
この情報伝達には,興奮性と,抑制性とがありますが,興奮性の神経伝達物質の代表的なものがグルタミン酸であり,抑制性のそれがγ-アミノ酪酸(GABA)です。例えば,脳が化学物質の曝露を受けると,神経細胞の情報伝達に変調をきたし,これ等の神経伝達物質に影響を受けるのではないかと考えられています。
3.神経伝達物質をはかる
MRI装置は,核磁気共鳴という現象を利用した装置です。生体内には,水が多く含まれていますが,水分子H2Oの水素原子核1Hのスピンと呼ばれるものを検出することで,断層画像を取得することができます。脳内の代謝で産生される代謝物にも,この1Hが含まれていますので,MRI装置で検出することが可能です。図1には,ヒト脳内の後頭葉領域から取得した代謝物データを示しています。このデータは1Hスペクトルと呼ばれ,幾つか見受けられるピークがそれぞれの代謝物の1H情報を示しています。このスペクトルの横軸は周波数情報を持っていまして,代謝物の1Hは,それぞれ検出できる周波数が若干異なるため,図1のようにそれぞれのピークを検出することが可能となります。この周波数差の程度は100万分の1の程度なので,横軸はppmの単位で表示されます。一般の臨床用MRI装置よりも3倍程度の磁場強度である4.7TのMRI装置では,図1に示されるように代謝物1H間のスペクトル分解能がより優れているため,様々な代謝物情報を取得することができ,2で説明した脳内の神経伝達物質であるグルタミン酸も検出することができます。しかしながら,脳内に多く存在するグルタミンと化学構造が類似しているため,それぞれの代謝物1Hの周波数差が小さく,図1に示すように若干オーバーラップしたピークとして検出されます。一方,抑制性の神経伝達物質であるGABAに関しては,この手法では検出することができません。
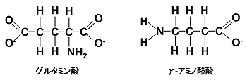
図2にはグルタミン酸とGABAの分子構造式を示していますが,このようにグルタミン酸とGABAには多くの1Hが存在しています。それぞれの1Hは,全て上記で触れたスピンを持っていまして,それぞれの間に磁気的な結合が存在しています。このため,グルタミン酸やGABAの1Hスペクトルは,単純なピークとはならずに,分裂した複雑なピークとなります。グルタミン酸やGABAの検出を難しくしている主な原因は,この磁気的な結合でして,私たちはこれを回避してヒト脳内からピークを検出できる方法を開発しました。まず,この方法の確認のために,脳内の代謝物を溶かした試料のスペクトルを取得してみました。この方法では,図3aのように2次元情報を持つデータが得られます。このデータは,図1で示したものとは表示方法が異なっていますが,図1と同様,代謝物の1H情報を持っていまして2次元スペクトルと呼ばれます。図1では,例えばグルタミン酸では,2.35ppmの近辺にピークを持っているのが見受けられていました。これに対して, 図3aでは横軸(図ではF1と示しています)の2.35ppmと縦軸(F2と示しています)の2.35ppmの交差する位置にグルタミン酸のピークが現れます。この表示方法では,ピーク強度は擬似カラーで表示されます。図3右横のカラーバーに示すようにピークが大きいほど赤く,小さいほど青く描出されます(グルタミン酸のピークの中心位置では,強度が表示範囲を超えていますので白い表示となっています)。 F2 [ppm]と表示のある位置からグルタミン酸のピークを眺めてみたと考えてください。そうしますと,3つの赤いピークがご覧になれるのではないでしょうか。では,F1 [ppm]と表示のある位置から眺めた場合はどうでしょうか。この場合は,先程の3つの赤いピークが重なって見えるはずです。これは,言い換えると,F1側からは3つの赤いピークを1つにすることができている,すなわちピークの分裂を回避することができていることを示しています。グルタミン酸だけではなくて,GABA,グルタミンのピークも同様にF1側からは1つのピークとして見えています。そして,このおかげで,グルタミン酸,GABA,グルタミンがそれぞれ分離して見ることができるようになっていることがおわかりになるかと思います(もし,F1側からの眺めも,幾つかのピークに分裂して見えたならば,グルタミン酸,GABA,グルタミンのピークはそれぞれ重なってしまいます)。
次に,この方法を用いてボランティア測定を行ってみました。この結果得られたヒト脳のスペクトルを図3bにします。このスペクトル上でも,試料スペクトルと同様に,F1側から眺めたそれぞれのピークを1つにすることができまして,グルタミン酸,GABA,グルタミンのそれぞれのピークを検出することができました(図3b)。従って,以上のような特徴を持つ今回の方法を用いることでヒト脳内から次に,この方法を用いてボランティア測定を行ってみました。この結果得られたヒト脳のスペクトルを図3bに示します。このスペクトル上でも,試料スペクトルと同様に,F1側から眺めたそれぞれのピークを1つにすることができまして,グルタミン酸,GABA,グルタミンのそれぞれのピークを検出することができました(図3b)。従って,以上のような特徴を持つ今回の方法を用いることでヒト脳内からグルタミン酸とGABAのピークを良好に検出することができるようになりました。
4.おわりに
磁気的結合を回避する方法を用いることで,ヒト脳内からグルタミン酸とGABAを取得できるようになってきました。今後研究を進め,ヒト脳のモニタリング応用の段階に進めていきたいと考えています。また,「1.はじめに」にふれた通り,ヒト脳のモニタリングの重要な課題の一つとして,ヒトに対する化学物質の曝露情報に関しても検討を進めていく必要があります。これはなかなか難しいのですが,例えば,今年の5月にアメリカのシアトルでMRIに関する世界最大の学会である国際磁気共鳴医学会大会が開催されましたが,ここでコネチカット大学から報告のあった鉛に関する研究が参考になると考えています。この研究では,幼少期に血中に含まれる鉛の量を計測したボランティアを対象に,彼らが成人した後取得した脳のデータとの相関を調べています。この結果,幼少期の血中の鉛の量と,成人期の頭頂葉での灰白質の体積の減少との間に相関がみられたと報告しています。今後,このような研究の進め方を参考にしながら,ヒト脳のモニタリングを進めつつ,化学物質のヒトへの影響に関する研究を進めていきたいと考えています。
執筆者プロフィール:
趣味は,水泳,ランニング,スキューバダイビング,テニスと,体を動かすことです。ランニングでは,4月の霞ヶ浦マラソン大会に参加しました。まだ,フルマラソンは2回の初級ランナーでして,走ることを楽しんでいるレベルです。
目次
- 巻頭言
- 【シリーズ重点研究プログラム:「地球温暖化研究プログラム」から】
- 【環境問題基礎知識】
- 【トピック】
- 総務部
- 【研究所行事紹介】


