オゾン層変動の解明研究の概要
- ILASで見たオゾン層の破壊 -
1 オゾン破壊速度
ILASは1日14回北極の上で観測しています。その時に捉えた一つの空気塊を流跡線解析で追跡しました。さらに衛星で観測した空気塊のペアを選び出し、それらの観測値を比較することにより、オゾン濃度の差からオゾン破壊速度を解析しました(図4)。
極渦付近の場合など、空気塊同士の混合などが生じた時には、流跡線解析による空気塊のペアは、必ずしも同じ空気塊であったとはいえません。これらの影響を考慮するために、複数の流跡線解析を行い、疑わしい流跡線を排除しました。また冬季の成層圏では太陽光が当たらないため、大気の熱が放射によって逃げて、空気塊は冷却によって重くなり下降してしまいます。つまり、観測している高さから、オゾンを含む空気が落下してなくなってしまうのです。この影響を除去するために、全球放射モデルで計算された放射冷却率を用いて、この冷却による下降を補正しています。
このようにして見積もったオゾン変化量は、大気の運動による影響を極力排除したことにより、より正確なオゾンの化学的な変化(破壊)を示していると考えられます。

この図は、1997年1月30日(年通算日数30日)から3月31日(年通算日数90日)までの間の、成層圏オゾン濃度の変化に関する解析結果を示しています(算出方法は、本文を参照して下さい)。
ここでオゾン濃度変化率は、一日当たりの極渦内平均の変化率を意味します。単位は(ppbv/日)で表わし、これは気体の体積混合比で10億分の1の変化(一日当り)に相当します。図中の黄色っぽいところを中心に縦線が描かれているところは、算出結果が統計的に有意でない領域(有意水準99%)です。
縦軸には、高度の指標である温位を使っています。温位は、その場所の空気を地上の気圧まで圧縮したときの温度(絶対温度:K)で示します。一般に成層圏では温位は高度とともに増加します。通常、空気塊は温位の等しい面内を移動しますが、冬の極域付近の成層圏では、放射冷却によって空気塊が冷えるために、空気塊は図に示されるようにゆるやかな曲線に沿って高度を下げていきます。
右の積算破壊量の図は、空気塊の下降を考慮した(曲線に沿った)オゾン変化の合計量(ppmv:体積混合比100万分の1)を示します。図中の横線は、推定誤差を表わしています。下段の図は、温位が400Kから600Kの間で積算した1日当たりのオゾン濃度変化率(単位DU/日)を通算日数に対して描いています。
2月下旬には、温位で450Kから500K(高度で約18km〜20km)で平均オゾン濃度変化率が最大50-70ppbv/日に達しています(中央赤い部分)。また、1月30日から3月31日までの間に、オゾン濃度は最大で2.0ppmvも減少しました(右図)。1月30日の高度20km付近での極渦内平均オゾン濃度は3.6ppmvであったことから、この2カ月間で約55%のオゾンが化学的に破壊されたことになります。1月30日から3月31日の間に、400Kから600Kの範囲で積算したオゾン減少量は96DUでした。
2.PSCの組成
PSCは、フロンから出てきた塩素をオゾン破壊に不活性な状態から活性な状態に変換する反応の場となって極域オゾン破壊を促進させることが最近の研究でわかってきました。しかし、PSCの分布が高緯度の広範囲にわたることや、−80℃以下の低温になる冬季の極域成層圏にしか現われないことから、PSCの分布やその形成過程、組成などについては、あまりよくわかっていませんでした。ILASは高緯度の成層圏を連続的に観測することができたため、PSCに関してさまざまな新たな知見を得ることに成功しました。
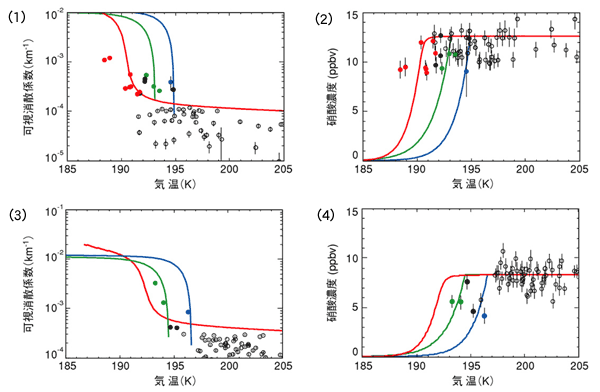
1997年1月〜3月の北極域上空のILAS可視消散係数(大気中の光の減衰量の指標。光路中にエアロゾルやPSCがあると、大きな値となる)データを用いて、PSCの発生頻度およびそれが出現する高度と経度の分布の変化を捉えることに成功しました。さらに、この消散係数と観測された空気塊の気温や硝酸濃度との関係から、観測されたPSCの組成を理論的に推定することが可能となりました(図5)。
実際に成層圏大気中で出現しているPSCの組成を明らかにすることは、将来温室効果ガスの増加などにより成層圏大気の温度が変化したときに、PSCの出現頻度がどのように変化するかを予測したり、ひいてはそれによってオゾン破壊がどれだけ長引くかを予測したりする上で、たいへん重要なポイントとなっています。

PSCを構成する粒子にはいくつかのタイプが存在することが知られており、その主なものは、水と硝酸からなる結晶(硝酸と水が1:3で結合しているNAT、1:2で結合しているNADなど)、水/硝酸/硫酸からなる過冷却状態(本来結氷すべき温度でも液状である状態)の液滴(STS)、そして氷晶の、3つのタイプがあるといわれています。
これらの3つのタイプの粒子は各々独自の熱力学的な特徴を持っています。実験室データから予測される気温と消散係数および硝酸ガス濃度との理論的関係を図中に実線(青:NAT、緑:NAD、赤:STS)で示します。
(1)は1997年1月中旬に北極域の高度22kmでILASで測定された消散係数と気温の関係を示しています(縦軸の消散係数はPSC量を表わす指標で、可視光線が1km進むときに減衰する割合を表わしています)。PSCが出現すると光が大きく減衰するため、消散係数は増加します。この図では消散係数が10-4(km-1)以上の時にPSCがあったと判断しています(図中の赤丸はSTS由来、緑丸はNAD由来、青丸はNAT由来と判断できる。黒丸は由来不明。なお白丸はPSCは存在すると判断されなかったケース)。(2)は、これに対応する大気中の硝酸ガス濃度と気温の関係を示しています。PSCは硝酸ガスを吸収して成長するため、大気中の硝酸ガス濃度は粒子の成長に伴って減少します。
(1)(2)の時期・高度では、ILASデータの多く(図中赤丸)は赤線で示されたSTSの理論成長曲線にもっとも近く、STSの成長曲線に沿ってエアロゾル量が増加し((1))、同時に硝酸ガス濃度が減少しています((2))。このことから、1月中旬にILASで観測されたPSCは、STSがもっとも多かったことが明らかになりました。
このようにILAS観測では、PSCの発生を検出するだけでなく、そのタイプ(成分)まで推定することに世界に先駆けて成功しました。