
太陽光誘起クロロフィル蛍光の観測で捉えた
落葉樹林の林床の寄与
~二酸化炭素吸収の鉛直分布を把握~
森林観測タワーの異なる地上高の3点(18m、14m、8m)においてSIF放出を詳細に解析し、2020年4月と11月に森林全体のSIF放出のうち林床の寄与が約半分を占めることを明らかにしました。同時に測定された群落CO2濃度・CO2交換量は、林床のSIFが樹木落葉期におけるCO2吸収に応答することを裏付けました。今回提案された手法は数値モデルの予測を実証でき、人工衛星のSIF観測による全球的な温室効果ガス監視網の発展に寄与し、今後さまざまな生態系への応用が期待されます。
本研究の成果は、2022年11月16日付でElsevierから刊行される自然科学分野のの学術誌『Remote Sensing of Environment』にオンライン掲載されました。
1.研究の背景
クロロフィル蛍光※1のリモートセンシングは、陸域の二酸化炭素(CO2)吸収で大きな役割を果たす植物の光合成活性や植物生理学的情報を得るために用いられてきました。なかでも太陽光誘起クロロフィル蛍光(SIF)は遠隔測定が可能であるため衛星やタワーから観測されてきましたが、このようにして得られた林冠上端(図1参照)のデータは植物群落全体のうち一部を捉えているにすぎません。SIFから生態系全体によるCO2吸収を高い精度で推定するため放射伝達モデルによって群落内部のプロセスが詳細に調べられていますが、直接的に群落内部におけるSIFの時間的・空間的分布を捉えることはこれまで試みられてきませんでした。また日本の温帯林の多くでは比較的密な林床層(図1参照)が発達し群落内の光合成の重要な役割を担っているため、森林の階層構造を2層から3層に分けなければなりません。したがって鉛直方向のSIF蛍光放射の分布を測定することは、林冠1層のみの場合より光合成の推定精度向上につながると期待できるため、陸域生態系における二酸化炭素吸収の機能およびプロセスを理解するうえで重要です。
2.研究結果の概要
私たちは落葉広葉樹林内の観測タワーの18m、14m、8mの高さからSIF鉛直分布を測定するシステムを世界で初めて構築し、これを用いて森林階層構造のなかのSIF放出と光合成の季節変化について明らかにすることを目的としました。岐阜県高山市の岐阜大学流域圏科学研究センター高山試験地に観測システム(図1)を設置し2020年の4月から11月のデータを解析しました。

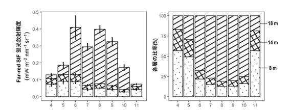
SIFは8月の日中の晴れた太陽光のもとで高い放射輝度(~1.5 mW m-2 nm-1 sr-1:10分値)を示しました。月平均値SIFの鉛直成分(図2)のうち上層の林冠層(18m)は高木の展葉とともに6月に上昇しました。林床層(8m)の比率は4月、5月、11月に高く(約50%)、同時に連続撮影された生物季節カメラ(PEN※2)との比較から主に常緑性ササ群落からの蛍光を検出したことが示されました。生態系の炭素吸収にあたる鉛直方向のCO2濃度差分と8m高における林床SIFとの比較結果から(図3)、SIFが高いほどCO2濃度が相対的に低下したため林床植生の光合成の寄与を捉えていると考えられました。また理論的な群落の蛍光全量として蛍光の群落内部離避率※3(escape ratio)を用いた推定方法と今回求めた鉛直3層の和が非常によく相関しており(図4)、森林の立体的な構造による群落内蛍光への影響を理解するのに有効であることを示しました。このことは本研究の実測アプローチによって初めて明らかになりました。



3.今後の展望
SIF鉛直分布の観測手法を群落レベルでの放射伝達モデルと組み合わせることで、林冠上部の観測だけでは見過ごしがちな春や秋の森林内部のCO2吸収量を含む生態系全体の把握が可能になると期待されます。また、個葉レベルでの分光特性や生理学的要因の解析と組み合わせることで、さらにプロセスへの理解を深めることができます。
今後同様の観測システムを用いて森林階層構造、樹高、密度、葉の寿命などの条件が異なる他の生態系においても研究を行うことで、SIFの動態についてさらに詳しいメカニズムがわかるでしょう。様々な生態系における研究を進めることで、地球規模での環境変動下の陸域生態系の光合成リモートセンシング指標としてSIFを役立てていくことにつながると期待します。
4.注釈
※1:クロロフィル蛍光(Chlorophyll Fluorescence)
植物の細胞内に含まれるクロロフィル色素(葉緑素)が光合成における光エネルギー受容・伝達において、反応に利用できない余剰エネルギーの一部を蛍光として放出したもの。赤色(red)から遠赤色(far-red)波長の光として放出される。ストレス診断など広く農業分野や生物学分野で利用される。
※2:PEN(Phenological Eyes Network)
日本国内を中心として海外を含む生態系観測サイトにおける生物季節(フェノロジー)連続観測を目的としたデジタルカメラおよび分光放射計による観測ネットワーク。衛星観測の検証としても利用される。http://pen.envr.tsukuba.ac.jp/
※3:群落内部離避率(Escape Ratio)
群落上端の観測方向へ放出した遠赤色波長クロロフィル蛍光と群落内部の葉から放出された全量の比。群落内において吸収・散乱することで群落外への放出が減少する。光学において一般的な放射の減衰割合を意味する消散係数と区別するため便宜的に離避率とした。植生指数に重みづけされた近赤外反射率と光合成有効放射吸収率の比によって計算される。Escape Ratioの参考文献:Zeng, Y.L., Badgley, G., Dechant, B., Ryu, Y., Chen, M., Berry, J.A., 2019. A practical approach for estimating the escape ratio of near-infrared solar-induced chlorophyll fluorescence. Remote Sens. Environ. 232, 14.
https://doi.org/10.1016/j.rse.2019.05.028
5.研究助成
本研究は、(独)環境再生保全機構の環境研究総合推進費「JPMEERF20193003 (2-1903)、JPMEERF20162R01 (2RF-1601)」、日本学術振興会科学研究費助成事業「JP15K12182、JP18KK0317、JP18H03350、JP22H05704、JP21H05316、JP19H03301、JP18H03365」、岐阜大学流域圏科学研究センターの共同利用・共同研究事業の支援を受けて実施されました。
6.発表論文
【タイトル】Contributions of the understory and midstory to total canopy solar-induced chlorophyll fluorescence in a ground-based study in conjunction with seasonal gross primary productivity in a cool-temperate deciduous broadleaf forest
【著者】Tomoki Morozumi, Tomomichi Kato, Hideki Kobayashi, Yuma Sakai, Naohisa Nakashima, Kanokrat Buareal, Kenlo Nishida Nasahara, Tomoko Kawaguchi Akitsu, Shohei Murayama, Hibiki M. Noda, Hiroyuki Muraoka
【雑誌】Remote Sensing of Environment
【DOI】10.1016/j.rse.2022.113340
7.問い合わせ先
【研究に関する問い合わせ】
国立研究開発法人国立環境研究所 地球システム領域
衛星観測センター 特別研究員 両角友喜
北海道大学大学院農学研究院
准教授 加藤知道
【報道に関する問い合わせ】
国立研究開発法人国立環境研究所 企画部広報室
kouhou0(末尾に@nies.go.jpをつけてください)
北海道大学 社会共創部広報課
〒060-0808 札幌市北区北8条西5丁目
jp-press(末尾に@general.hokudai.ac.jpをつけてください)