戸建て住宅における屋根上太陽光発電(PV)+電気自動車(EV)の脱炭素化ポテンシャルが、今後、急激に高まる
| 2021年12月2日(木) 国立研究開発法人国立環境研究所 地球システム領域1、社会システム領域2 小端 拓郎1 Choi Younghun1 平野 勇二郎2 山形 与志樹1 メルボルン大学3 Kelvin Say3 |
|
国立研究開発法人国立環境研究所の研究グループは、今後予測されるPVとEVのコストの下落に伴って、戸建て住宅街の屋根上PVとEVを蓄電池として組み合わせたシステム(「PV+EV」システム)の脱炭素化ポテンシャルが、急激に高まることを明らかにしました。これまで、同研究グループは、「PV+EV」システム(SolarEVシティー構想)が、経済効率の高い都市の脱炭素化を可能にすることを明らかにしていましたが、都市のそれぞれの地区は、電力消費のパターン、ビルの形状、駐車台数等が異なることから、どの地区で「PV+EV」システムが、より発電し、消費され、蓄電されるのか明らかではありませんでした。そこで、本研究では、戸建て住宅街と中心市街地において「PVのみ(追加的な経済性が生じる時はプラス蓄電池:)」と「PV+EV」システムの脱炭素化ポテンシャルを見積もり、2040年までに、どのように推移するか比較研究を行いました。 その結果、2020年以前は両地区で「PVのみ(蓄電池)」のシステムが最も経済的なオプションですが、2025年前後には戸建て住宅街における「PV+EV」システムが、もっとも脱炭素化ポテンシャルが高くなることがわかりました。2025年には、戸建て住宅街と中心市街地において「PV+EV」システムによって、電力自給率がそれぞれ89%と62%、電力とガソリン消費に伴うCO2排出削減は88%と63%、エネルギーコストの節約が23%と15%、投資回収年が9年と10年、内部収益率(IRR)が11%と9%となりなりました。その後も、戸建て住宅街の「PV+EV」システムの脱炭素化ポテンシャルが最も高い伸びを示します。 今後、戸建て住宅の「PV+EV」システムは、いつでも送電可能な電力を多く有する地域(例えば「仮想発電所」)として発展する可能性があります。都市の脱炭素化に向けてこの可能性を最大限活かすため、規制改革や実証事業を通じたビジネスモデルの構築が必要になります。 本研究の成果は、2021年11月10日付でエネルギー分野の学術誌、「Applied Energy」に掲載されました。 |
1.研究の背景
カーボンニュートラルへ向けて、経済性効率の高い脱炭素化手法が求められています。特に、都市は日本のエネルギー起源のCO2排出の50%強を占め、政府は2030年度までに家庭部門でCO2排出66%削減、運輸部門35%減、業務その他部門51%減を目標として設定しています。そこで、国立環境研究所の研究グループは、今後価格が大きく下落することが予想される太陽光発電(PV)と電気自動車(EV)を組み合わせた脱炭素化手法の研究を行ってきました。2021年1月には、「SolarEVシティー構想」として日本の9つの都市(東京都区部、札幌市、仙台市、郡山市、新潟市、川崎市、京都市、岡山市、広島市)の分析結果を発表しました1。試算によると、これらの都市の屋根面積の70%にPVを敷設し、市内の乗用車をEVに変え、EVを蓄電池として用いることで、都市の53-95%の電力需要を賄うことができ、車と電力消費からのCO2排出の54-95%の削減につながることが明らかになりました。また2030年には、このシステムの導入によりエネルギーコスト(ガソリンと電気代)が26-41%削減となる可能性があることが分かりました。
しかし、都市には多様なビルの形状や材質、ビルの使用の仕方、電力消費パターン、自動車の駐車パターンがあるため、都市のそれぞれの地区において、どの程度屋根上PVによる発電が生じ、その電気が消費され、そして、EVに蓄電されるのかがわかりませんでした。そこで、本研究では、戸建て住宅街の典型として福島県相馬郡新地町の50軒の戸建て住宅のスマートメータの時間毎の電力消費データ(図1)、および、中心市街地の典型として京都市中心市街地の時間毎の消費電力をEnergyPlus2で見積もることで、「PVのみ(蓄電池)」と「PV+EV」システムによる都市の脱炭素化ポテンシャルの比較研究を行いました。

2.研究手法
本研究では、再エネプロジェクトの可能性を評価するために、「技術経済性分析」という手法を用いました。技術経済性分析を用いることで、再エネの変動性、日射変動、気温変動、技術のコスト、整備費、劣化などを考慮したうえで、既存のエネルギーシステム(電力系統の電気とガソリン車)との比較でプロジェクトを評価することができます。計算には、プロジェクト期間25年、割引率3%(将来の価値を現在の価値へ換算する際に用いる年率)、ドル円換算レートは、1ドル110円を用いました。電気料金は、京都市の中心市街地が20円/kWh(低圧・高圧混合電力料金)、新地町の戸建て住宅街が24円/kWh(低圧電力料金)で計算を行いました。
街区の分析を行うにあたって、中心市街地の建物の屋根面積の最大70%をPV敷設に用い、戸建て住宅は一軒当たり最大PV容量10kWを想定しました。技術経済性分析の中では、PV容量は経済性が最も高くなるPV容量を計算しています。分析は、2020年から2040年まで行い、PV、蓄電、EVのコストが変化する(図2)以外は同じ条件で計算しています。
EVは、40kWhのバッテリーが搭載されていることを想定し、その半分をPVの蓄電池として使うことを想定しました。また、自動車のオーナーが買い替え時にEVに乗り換えることを想定し、EVとV2Hシステム(EVから家に電力供給するシステム)のガソリン車に対する追加的コスト(価格差)をEVのコストとして見積もっています。EVは、京都市の中心市街地で100台、新地町の戸建て住宅街で1軒1台(50軒で50台)の乗用車がEVとなったことを想定しています。
分析は、1つ目は、PVと蓄電池を設置したケース(「PVのみ(蓄電池)」蓄電池はPVシステムに追加的な経済性が生まれる場合のみ)。2つ目は、「PV+EV」を設置(+V2H)したケースです。また、新地町の50軒の住宅を個別で分析した場合(individual)と、マイクログッドなどでエネルギーシェアリングが自由にできた場合(aggregate)の2通りで分析を行いました。そして、余剰電力の固定価格買取(中心市街地9円/kWh、戸建て住宅街10円/kWh)の有無の影響についても別途分析を行いました。

3.分析結果
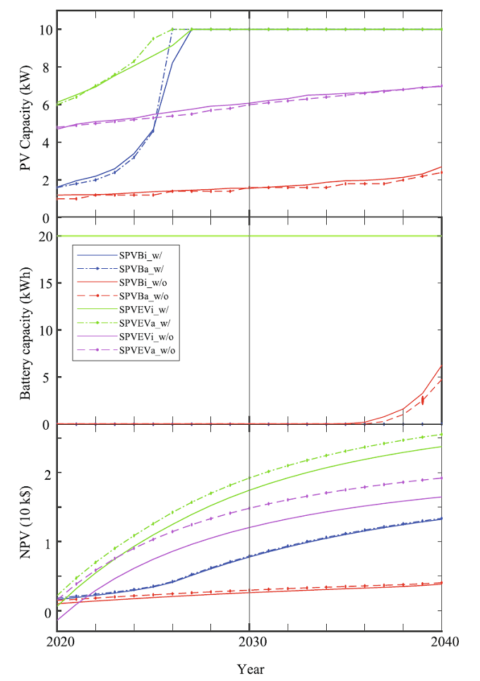
分析結果は、表1で記した指標で評価しました。まず、新地町の戸建て住宅街のPVの最適容量の変化を見ると、2020年はまだPVのコストが高く、「PVのみ(蓄電池)」のシステムでは経済的に最適なPV容量は1-2kW程度にとどまります(図3)。「PV+EV」のシナリオでは、2020年で最適PV容量が4kW程度「PVのみ(蓄電池)」のシステムより大きくなります(図3上)。また、余剰電力の買取がある場合、2026年前後には、PV容量は最大値の10kWに達します。定置式蓄電池は高価なため、「PVのみ(蓄電池)」のシステムに追加的な経済性がなかなか生まれず、2030年代後半にようやく5kWh程度の容量で経済性が生まれます(図3中)。
EVのバッテリーは、1軒当たり20kWh(フル容量40kWhの半分)がV2Hのために使用可能となるように設定されています(図3中)。正味現在価値(NPV)を見ると、「PV+EV」は2020年前後に「PVのみ(蓄電池)」の正味現在価値より大きくなり、2030年頃まで急速に高まります(図3下)。また、「PV+EV」のシステムは、マイクログリッド等で自由なエネルギーシェアリングを想定した方が、2割から3割程度高い正味現在価値を得ることができることがわかりました(図3下)。これは、EVの蓄電池を域内で共用できることによると考えられます。

図4は、都市の中心市街地(京都市)と戸建て住宅街(新地町)における「PVのみ(蓄電池)」と「PV+EV」システムの、2020年から2040年の各指標の値を比較した図です。複雑になるのをさけるため、余剰電力買取「あり」と「なし」の平均の値を示しています。
左上から順に説明すると、自家消費率(Self-consumption)は、2020年は小さいPV容量を反映して、すべてのシナリオで高い自家消費率でスタートしますが、「PV+EV」は大きなバッテリーを使用できるため、中心市街地と戸建て住宅街どちらでも「PVのみ(蓄電池)」より若干高い自家消費率となります(図4)。2025年まで急激に減少するのは、余剰電力の買取ありのケースで2025年前後までPV容量が上昇し最大値(10kW)に達するためです(図3)。
電力自給率(Self-sufficiency)は、2020年から2040年まで比較的ゆっくりと上昇します。注目すべき点は、戸建て住宅街における「PVのみ(蓄電池)」と「PV+EV」の大きな違いです。戸建て住宅街では、PVシステムにEVを加えることで電力自給率が4倍程度ふえることがわかります。一方、中心市街地では「PVのみ(蓄電池)」と「PV+EV」の差が小さく、EVを加えることによる電力自給率の上昇は1.5倍程度です。
エネルギー充足率(Energy sufficiency)を見ると、PV容量の増加に伴い(図3)、2025年前後まで急速に増え、そこからは徐々に増加します。戸建て住宅街の方が比較的屋根面積が大きいため、中心市街地より高いエネルギー充足率を示します。
CO2排出削減率(CO2 emission reduction)においては、電力自給率と同様に「PV+EV」が、戸建て住宅街で非常に大きな効力を発揮します。「PVのみ(蓄電池)」では、戸建て住宅街でのCO2排出削減は小さく、20%前後にしかなりません。これは、住宅の電力使用パターンとPVの発電パターンが大きくことなるからです。EVを蓄電池として加えることで、CO2排出削減率は大きく改善します。一方、中心市街地では、「PV(蓄電池)のみ」と「PV+EV」の削減率の差が小さくなっています。これは、PVのみ(蓄電池)でも需要・発電パターンが似ているため、自家消費が高くなること、比較的屋根面積が小さいこと、大きな需要であること、駐車している自動車の数が比較的少ないことに由来します。
エネルギーコストの節約(Cost saving)は、「PV(蓄電池)のみ」であれば中心市街地が大きくなりますが、PVとEVを組み合わせることで、戸建て住宅街において節約率が最も高くなります。中心市街地では、EVをPVと組み合わせることによる節約率の改善は小幅にとどまります。
投資回収期間(Simple payback period)は、2020年は「PVのみ(蓄電池)」の方が、「PV+EV」より短くなります。2025年には、戸建て住宅街の「PV+EV」の投資回収期間が最も短くなり、10年を切ります。その後も、戸建て住宅街の「PV+EV」の投資回収期間が最も短く、2030年には5年前後となります。
内部収益率(IRR)をみると、2020年前半は「PVのみ(蓄電池)」がより高い値を示しますが、2025年には戸建て住宅街の「PV+EV」が最も高くなります。以降、戸建て住宅街における「PV+EV」の内部収益率が、他の内部収益率より高い伸び率を示します(図4)。
つまり、戸建て住宅街の「PV+EV」システムが、今後、最も高い脱炭素化ポテンシャルの増加を示し、2025年前後には電力自給率が約89%、電力とガソリン消費に伴うCO2排出削減は約88%、エネルギーコストの節約が約23%、投資回収年が約9年、内部収益率(IRR)が約11%となりなります(図4)。

4.まとめ
本研究では、2040年まで、都市の「中心市街地」と「戸建て住宅街」をPV、蓄電池、EVを用いて脱炭素化を行うと、「PVのみ(蓄電池)」と「PV+EV」の脱炭素化ポテンシャルに、街区ごと、年代ごとに違いが出ることがわかりました。特に、戸建て住宅街において「PVのみ(蓄電池)」のシステムでは、電力消費パターンとPVの発電パターンが異なるため、経済性が高まらず、最適PV容量は小さいままに留まります。しかし、戸建て住宅街は、その消費電力に比べて大きな屋根面積と乗用車の台数が多いため、今後、「PV+EV」の脱炭素化ポテンシャルが格段に高まることが明らかになりました。特に、2025年以降すべての指標において、戸建て住宅街の「PV+EV」システムが最も高くなります。電力消費と自動車使用に伴うCO2削減率は、最大94%に達します。この戸建て住宅街での「PV+EV」システムを、都市の脱炭素化にフル活用するためには、バーチャルパワープラント「仮想発電所」などのビジネスモデルを確立し、戸建て住宅街のみならず需要地である市中心市街地などに電力を供給するシステムの構築が必要となります。
5.発表論文
T. Kobashi, Y. Choi, Y. Hirano, Y. Yamagata, K. Say, Rapid rise of decarbonization potentials of photovoltaics plus electric vehicles in residential houses over commercial districts, Applied Energy, doi:10.1016/j.apenergy.2021.118142.
URL: https://www.sciencedirect.com/science/article/abs/pii/S0306261921014185【外部サイトに接続します】
6.研究グループ
国立環境研究所 地球システム領域1、社会システム領域2
小端拓郎1 (特別研究員)、Choi Younghun1(准特別研究員), 平野勇二郎2(主幹研究員)、山形与志樹1*(主席研究員)
メルボルン大学3
Kelvin Say(研究員)3
*現在、慶応大学(教授)
7.問い合わせ先
【研究に関する問い合わせ】
国立環境研究所 地球システム領域
物質循環モデリング・解析研究室 特別研究員 小端 拓郎
【報道に関する問い合わせ】
国立研究開発法人国立環境研究所 企画部広報室
kouhou0(末尾に@nies.go.jpをつけてください) / 029-850-2308